EasyManua.ls Logo

Tusa ZEN - Page 91

Tusa ZEN
133 pages
Print Icon
To Next Page IconTo Next Page
To Next Page IconTo Next Page
To Previous Page IconTo Previous Page
To Previous Page IconTo Previous Page
Loading...
90
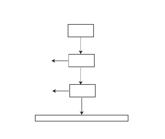
M
2 sec
GAS 1
PREVIEW
M
< 2 sec
GAS 2
PREVIEW
M
< 2 sec
Switches from
Gas 1 to Gas 2
(after 3 sec)
Switches from
Gas 2 to Gas 1
(after 3 sec)
Back to NORM DIVE MAIN
NORM DIVE
MAIN
M
2 sec
M
2 sec
GAS SWITCH ROUTINE

Table of Contents

Related product manuals