EasyManua.ls Logo

Tuthill T855 - Page 19

Tuthill T855
36 pages
Print Icon
To Next Page IconTo Next Page
To Next Page IconTo Next Page
To Previous Page IconTo Previous Page
To Previous Page IconTo Previous Page
Loading...
Operators Manual 2023 Rev G p/n 2023
15
04
Installation
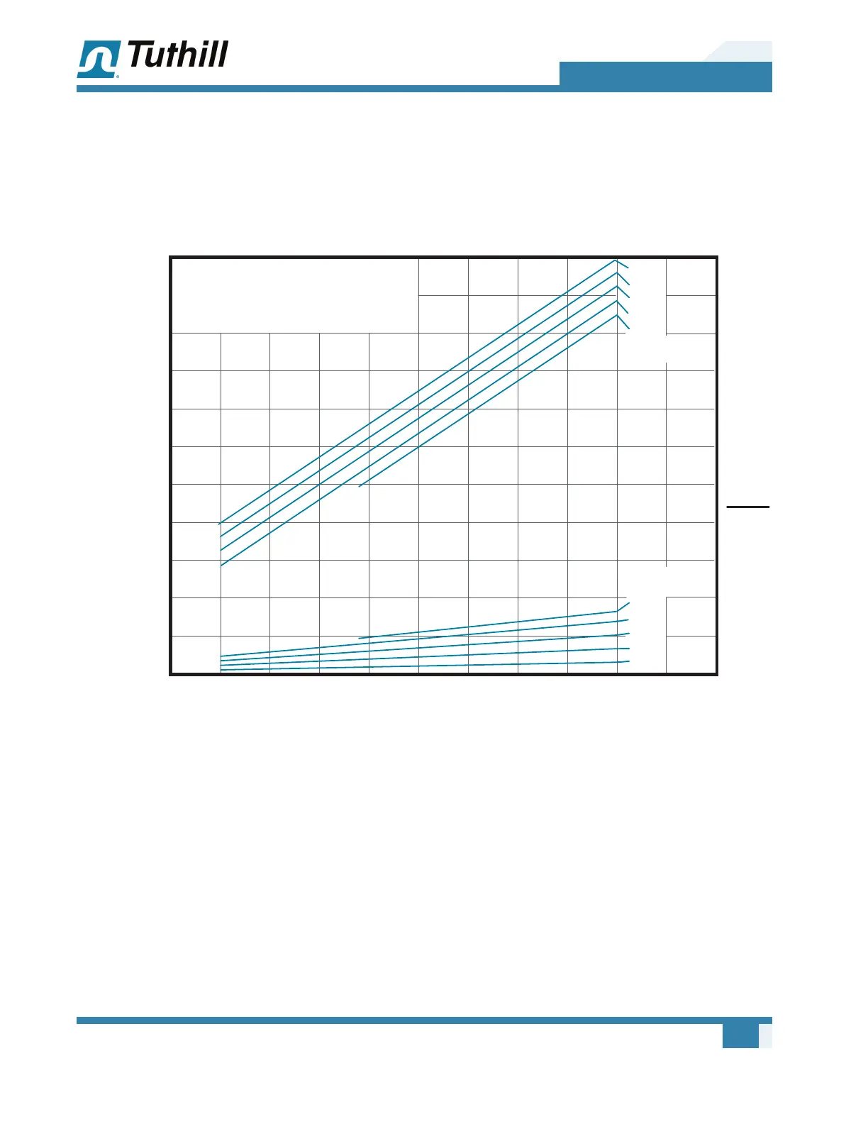
T850 / T855 VACUUM CURVE
T850 / T855 VACUUM CURVE
2
6
10
14
17
In. Hg
In. Hg
17
14
10
6
2
1000 1500 2000
RPM
2500 3000
Airflow at Inlet (CFM)
200
300
400
500
600
700
800
900
1000
0
25
50
75
100
BHP
AIRFLOW BASED UPON
INLET: 70° F
DISCHARGE: 29.92" Hg Abs
Figure 4-7 – T850 / T855 Vacuum Curve (US)

Related product manuals