EasyManua.ls Logo

Tuthill T855 - Page 20

Tuthill T855
36 pages
Print Icon
To Next Page IconTo Next Page
To Next Page IconTo Next Page
To Previous Page IconTo Previous Page
To Previous Page IconTo Previous Page
Loading...
Operators Manual 2023 Rev G p/n 2023
16
04
Installation
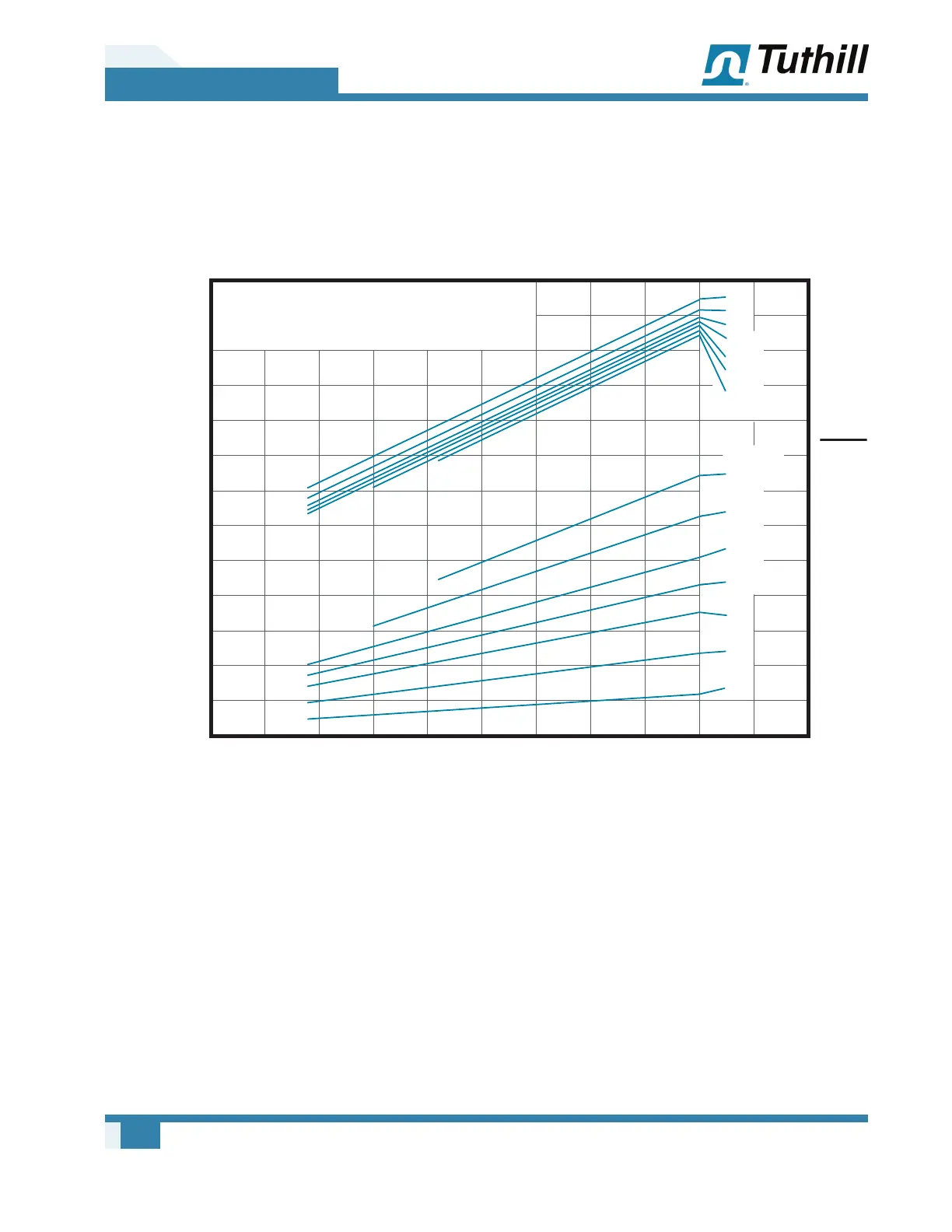
T1050 / T1055 PRESSURE CURVE
2
5
8
10
12
15
18
PSIG
PSIG
18
15
12
10
8
5
2
10001500 2000
RPM
2500 3000
Airflow at Inlet (CFM)
0
150
300
450
600
750
900
1050
1200
1350
0
15
30
45
60
75
90
105
120
BH
P
AIRFLOW BASED UPON INLET
CONDITIONS OF:
14.7 PSIA & 70° F
# PSIG DISCHARGE PRESSURE
Figure 4-8 – T1050 / T1055 Pressure Curve (US)

Related product manuals