EasyManua.ls Logo

Tuthill T855 - Page 21

Tuthill T855
36 pages
Print Icon
To Next Page IconTo Next Page
To Next Page IconTo Next Page
To Previous Page IconTo Previous Page
To Previous Page IconTo Previous Page
Loading...
Operators Manual 2023 Rev G p/n 2023
17
04
Installation
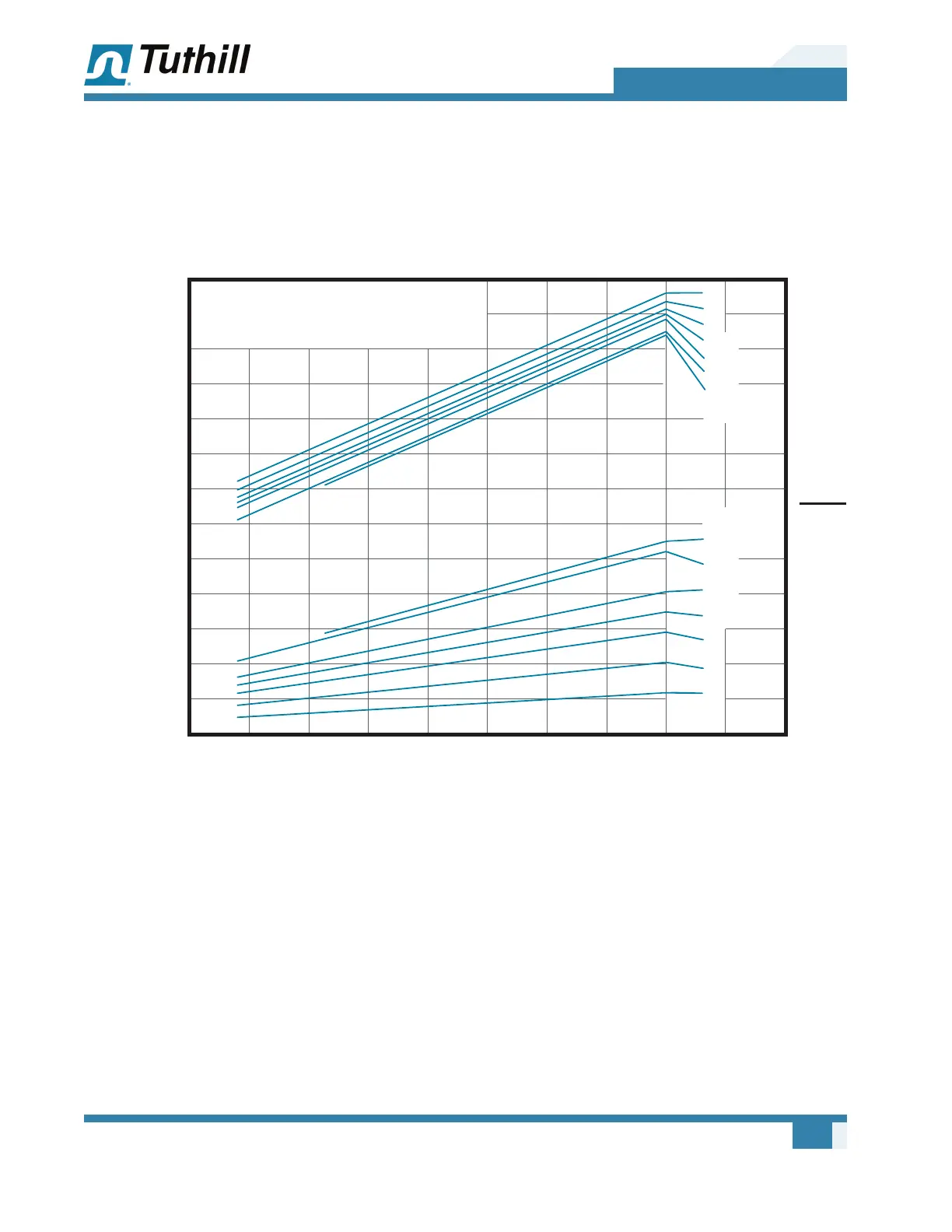
T1050 / T1055 VACUUM CURVE
In. Hg
17
16
12
10
8
5
2
2
5
8
10
12
16
17
In. Hg
1000 1500 2000
RPM
2500 3000
Airflow at Inlet (CFM)
0
150
300
450
600
750
900
1050
1200
1350
0
10
20
30
40
50
60
BHP
AIRFLOW BASED UPON
INLET: 70° F
DISCHARGE: 29.92" Hg Abs
Figure 4-9 – T1050 / T1055 Vacuum Curve (US)

Related product manuals