EasyManua.ls Logo

Zapi 4Q - Adjustment Menu

Zapi 4Q
29 pages
Print Icon
To Next Page IconTo Next Page
To Next Page IconTo Next Page
To Previous Page IconTo Previous Page
To Previous Page IconTo Previous Page
Loading...
Page 21
Option #3 If the “Tiller/Seat” input is activated without traction it
activates NEV1 for a duration that is programmed by the
“Hydro Time” parameter. If the input is activated with
traction then the NEV1 output is permanently active. If
traction stops, NEV1 remains active for a certain length
of time that can be programmed by the “Hydro Time”
parameter. If the “Tiller/Seat” input is disengaged, NEV1
disengages immediately. The low battery alarm
disengages NEV1 (used to drive brushes).
Set battery type
Sets the battery nominal value
24V 24V battery.
36V 36V battery.
3.7 "ADJUSTMENT" MENU
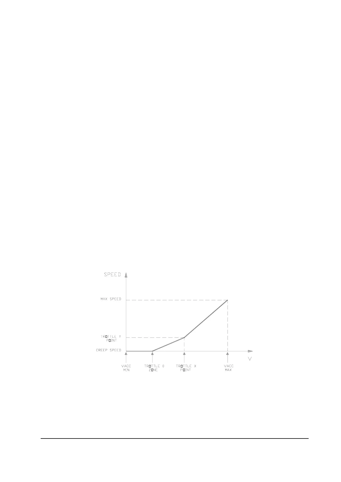
Throttle 0 zone This parameter is used to set the dead zone of the
traction potentiometer. See graph below.
Throttle X zone This parameter is used to adjust the characteristic of the
traction potentiometer signal.
Throttle Y zone This parameter is used to adjust the characteristic of the
traction potentiometer signal.
Adjust battery Fine adjustment of the battery voltage.

Related product manuals