EasyManua.ls Logo

Allen-Bradley 1756-L61S

Allen-Bradley 1756-L61S
116 pages
To Next Page IconTo Next Page
To Next Page IconTo Next Page
To Previous Page IconTo Previous Page
To Previous Page IconTo Previous Page
Loading...
98 Rockwell Automation Publication 1756-RM093J-EN-P - April 2018
Appendix F RSLogix 5000 Software, Version 14 and Later, Safety Application Instructions
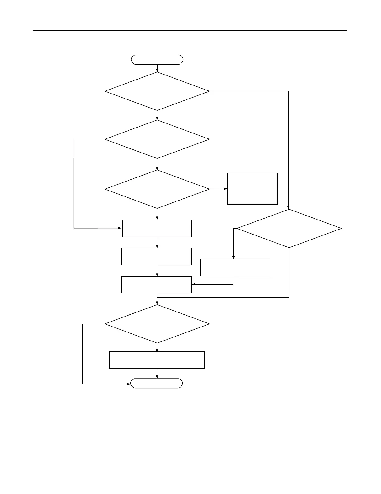
Figure 22 - Input Fault Latch and Reset Flow Chart
Start
Does this safety function require operator
intervention after a safety input failure?
Write logic to latch input failure.
(Example Rung 0)
Write logic to set inputs to safety state.
(Example Rungs 2 and 3)
Are the inputs used to drive
safety application instructions?
Can Circuit Reset be used for operator
intervention?
Is input fault information required for
diagnostic purposes?
Make sure you select
Manual Reset for the safety
application instruction.
No
Yes
No
Yes
Write logic to latch input failure.
(Example Rung 0)
Write logic to unlatch input failure.
(Example Rung 1)
Are any inputs used in an
instruction with diverse inputs?
(DIN or THRS)
No
Yes
Yes
No
Write logic to set safety state value when input is
faulted. (Example Rung 4)
Done
Yes
No

Table of Contents

Related product manuals