EasyManua.ls Logo

Allen-Bradley Studio 5000 Logix Emulate

Allen-Bradley Studio 5000 Logix Emulate
676 pages
To Next Page IconTo Next Page
To Next Page IconTo Next Page
To Previous Page IconTo Previous Page
To Previous Page IconTo Previous Page
Loading...
Chapter 6
386 Rockwell Automation Publication MOTION-RM002H-EN-P-February 2018
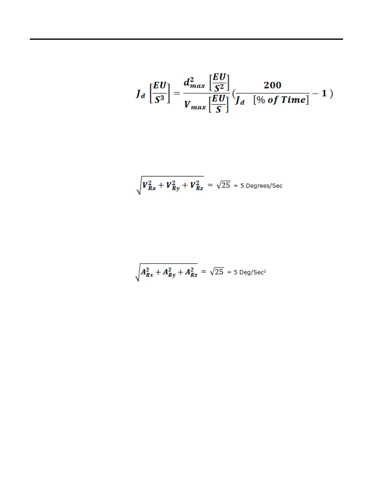
For deceleration jerk calculation in Engineering Units, use this calculation:
Orientation Speed
Orientation speed is a vector speed, its value is applied as a single orientation
vector composed of Rx Ry and Rz as orthogonal components. For example if the
Orientation speed is 5 Deg/Sec.
Orientation Acceleration and Deceleration
Orientation acceleration/deceleration is a vector value, its value is applied as a
single orientation vector composed of Rx, Ry and Rz as orthogonal components.
For example if the Orientation acceleration or deceleration is set to 5 Deg/Sec
2
,
then
Lock Direction
Specifies the direction that the master axis must be moving when it crosses the
Lock Position for the lock to be activated.
Tip:
When the Time Unit is set to Master units the value set in this field should be the
direction of Master. Refer to the MCLM instruction for further information on the
Lock Direction operand.
Lock Position
Specifies the master axis position where the slave will become locked to the master
axis.
Outputs
N/A

Table of Contents

Other manuals for Allen-Bradley Studio 5000 Logix Emulate

Related product manuals