EasyManua.ls Logo

Baumer OM20 - Histogram Function

Baumer OM20
54 pages
Print Icon
To Next Page IconTo Next Page
To Next Page IconTo Next Page
To Previous Page IconTo Previous Page
To Previous Page IconTo Previous Page
Loading...
9 | Diagnostic data Baumer
44 Operating Manual OM20/ OM30 RS485 with Modbus RTU | V1
9.2 Histogram function
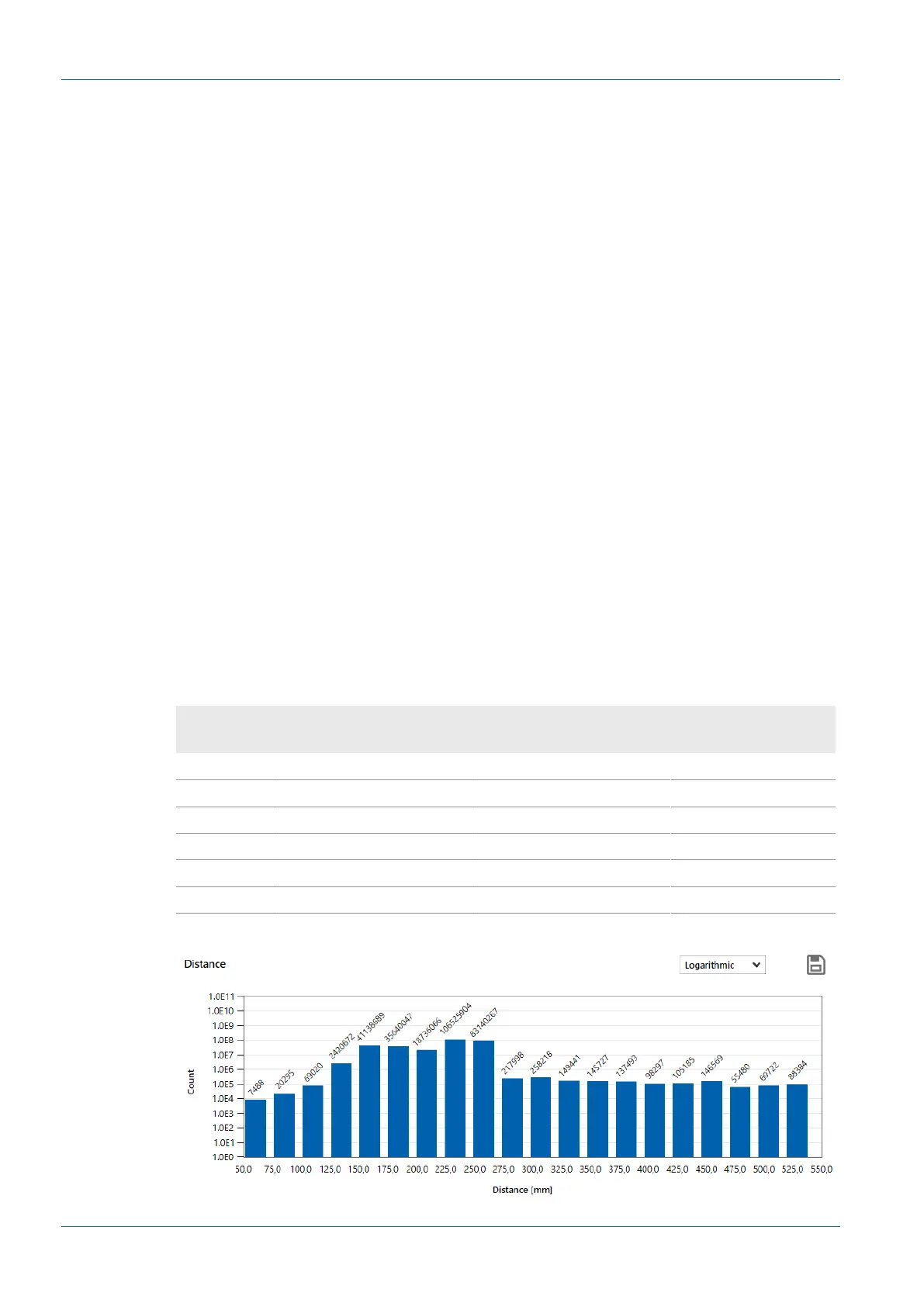
The histogram function counts the appearance of values within defined intervals (bins). The
number of values refers to the followings key data:
n
Distance
n
Exposure reserve
Distance
With each cycle, a measured value (distance) is recorded. The following information is avail-
able:
n
Unit
n
Start of valid range
n
End of valid range
n
Number of intervals/bins
Example:
Measurement range of the sensor: 50-550mm:
n
Unit: mm
n
Start of valid range: 50mm
n
End of valid range: 550mm
n
Number of intervals/bins: 20
This yields:
Interval/bin covers the following range: (550mm - 50mm)/20 = 25mm
If the sensor records the value 76mm 5 times and the value 162mm 15 times in 20 measure-
ments, the following distribution results:
Bin Value range min. Value range max.
Number of
measurements
Bin 1 50 mm < 75 mm 0
Bin 2 75 mm < 100 mm 5
Bin 3 100 mm < 125 mm 0
Bin 4 125 mm < 150 mm 0
Bin 5 150 mm < 175 mm 15
... ... ... ...
Example of a recorded distance histogram:

Table of Contents

Related product manuals