EasyManua.ls Logo

Bentone B 2 KA - Page 17

Bentone B 2 KA
44 pages
Print Icon
To Next Page IconTo Next Page
To Next Page IconTo Next Page
To Previous Page IconTo Previous Page
To Previous Page IconTo Previous Page
Loading...
17 Bentone
0
2
4
6
8
10
12
14
16
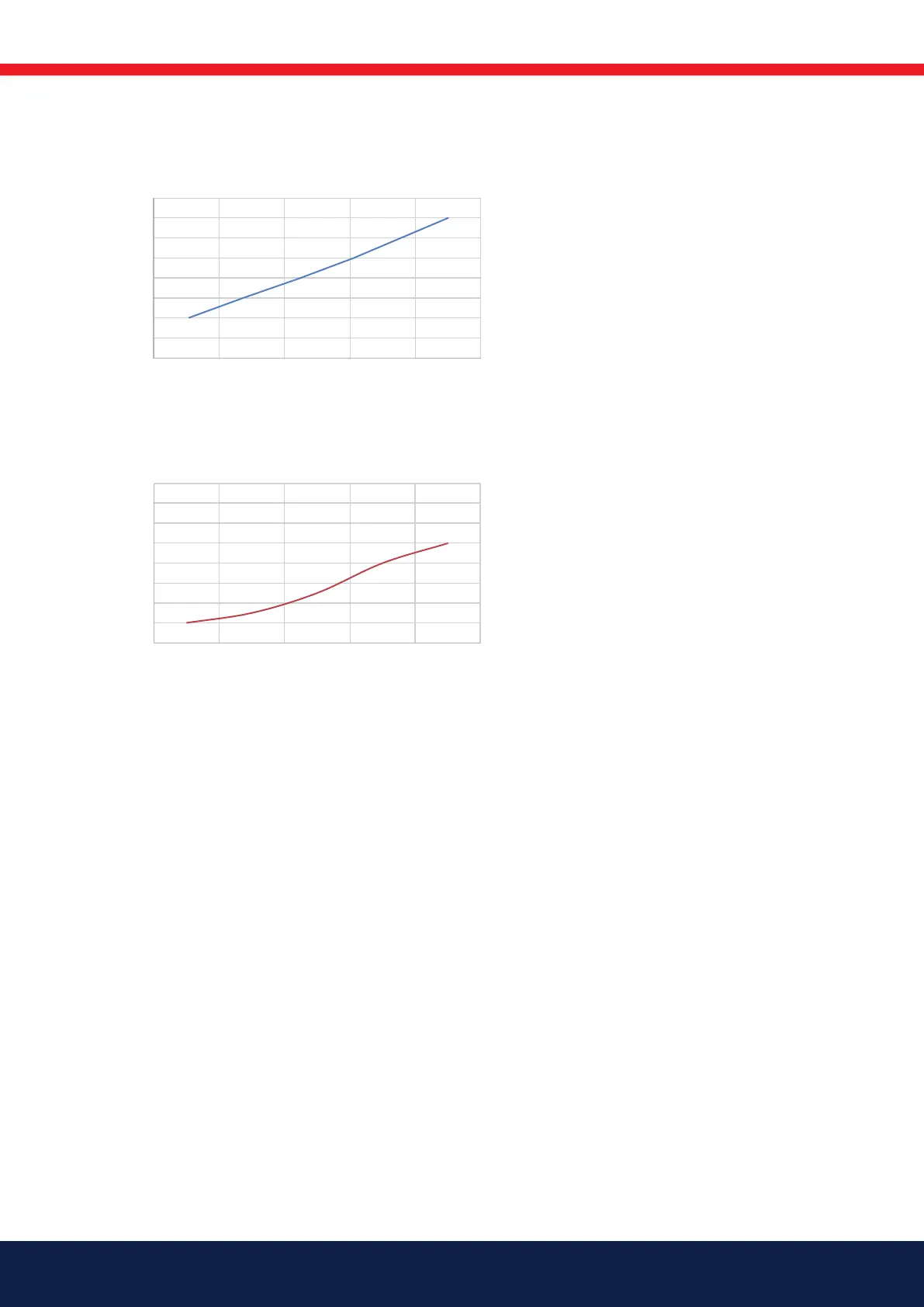
50,7 67,1 84,7 101,1 130
0
2
4
6
8
10
12
14
16
40 60 80 100 120 140
Insats
Air, scale
Nozzle assembly, scale
Setting values for insert B 2 KS,KSV
Setting values for air damper B 2 KS,KSV
Burner capacity, kW
Burner capacity, kW

Related product manuals