EasyManua.ls Logo

BMW E36 - Fuse 23

BMW E36
386 pages
Print Icon
To Next Page IconTo Next Page
To Next Page IconTo Next Page
To Previous Page IconTo Previous Page
To Previous Page IconTo Previous Page
Loading...
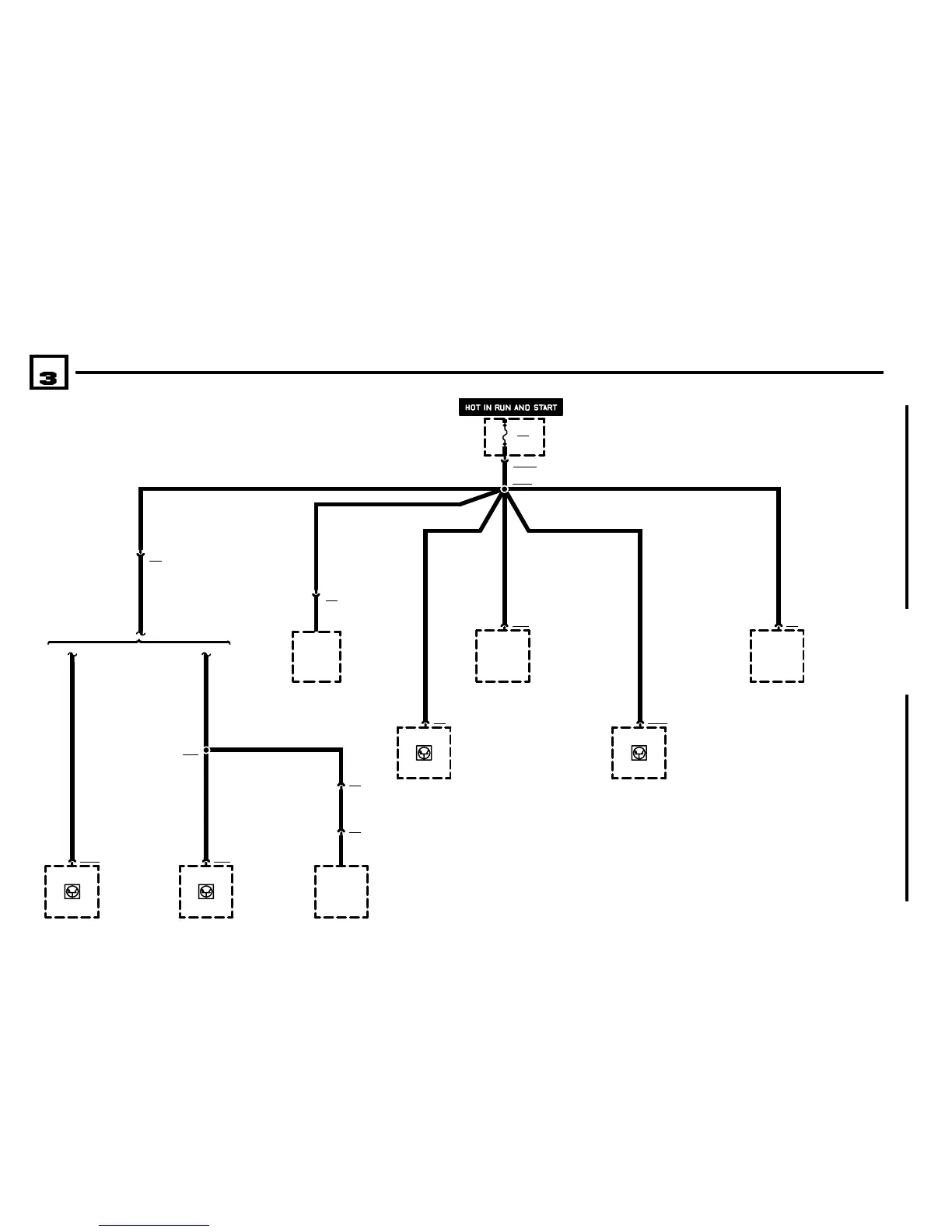
FUSE 23
04/99
0670.3Ć
1998
07
FUSE DETAILS
P90
FRONT POWER
DISTRIBUTION BOX
F23
5A
X1076
BMWBMWBMWBMW
X8991
S7
COMBINATION
SWITCH
X174
A2w
INSTRUMENT
CLUSTER
X2924
K13
REAR DEFOGGER
RELAY
X10709
N10
MULTIFUNCTION
CLOCK
X638
K9
UNLOADER RELAY,
TERMINAL 15
.5 GN/GE
5203.0
6213.2
6424.06312.0
6313.0
1 X35
1 GN/BL
.75 GN/GE
.5 GN/BL
.5 GN/BL .35 GN/BL 1.5 GN/BL
6581.2
6211.0
6410.5
.5 GN/BL
X100176
N4
ONBOARD
COMPUTER
X32
9
A32y
THERMOSTAT
6214.0
A35
ONBOARD
DISPLAY
.5 GN/BL
X152724
.5 GN/GE
6450.7
A115
AUTOMATIC
CLIMATE CONTROL
MODULE
X851
.5 GE
6410.5
Y4
WATER VALVE
ASSEMBLY
.5 GN/GE
X354
X897
.5 GN/GE
.5 GN/GE
WITH IHKA WITH HR

Table of Contents

Related product manuals