EasyManua.ls Logo

Canon MX470 - Envelopes

Canon MX470
913 pages
Print Icon
To Next Page IconTo Next Page
To Next Page IconTo Next Page
To Previous Page IconTo Previous Page
To Previous Page IconTo Previous Page
Loading...
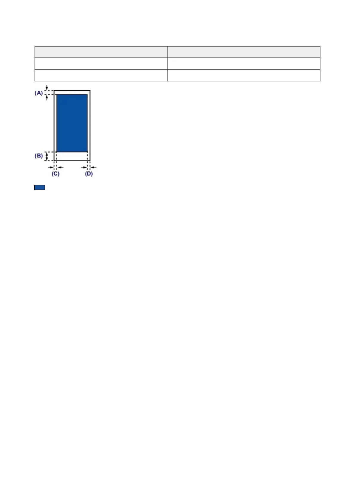
Envelopes
Size Recommended Printing Area (width x height)
Envelope DL 3.88 x 7.06 inches (98.8 x 179.5 mm)
Envelope Com 10 3.68 x 7.90 inches (93.5 x 200.8 mm)
Recommended printing area
(A) 0.31 inch (8.0 mm)
(B) 1.28 inches (32.5 mm)
(C) 0.22 inch (5.6 mm)
(D) 0.22 inch (5.6 mm)
91

Table of Contents

Related product manuals