EasyManua.ls Logo

Clear-Com WBS-670 - Beltpack Menu Structure; Group;Channel Screen; Power-Up Screens; Receive Screen

Clear-Com WBS-670
62 pages
Print Icon
To Next Page IconTo Next Page
To Next Page IconTo Next Page
To Previous Page IconTo Previous Page
To Previous Page IconTo Previous Page
Loading...
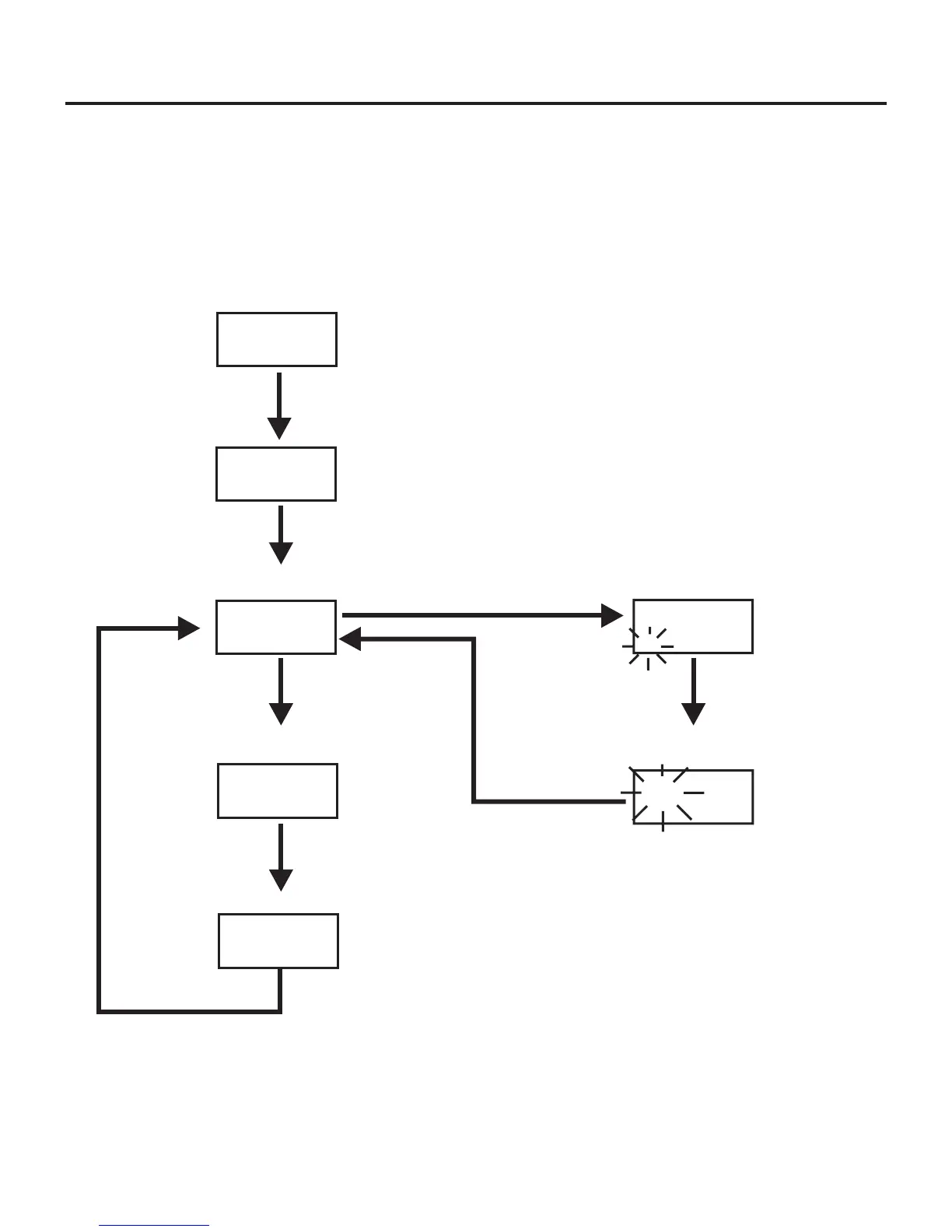
WTR-670 Menu Structure
Beltpack Menu Structure
6-12
[MENU]
S20001
C60001
03A 01
Power-Up Screen - Pg. 6-13
Group/Channel Screen - Pg. 6-14
GP CH
[MENU]
704.200
Transmit Screen - Pg. 6-15
TX
[MENU]
570.300
R1
Receive Screen - Pg. 6-16
Clr Scn
GP
04A Scn
GP
[MENU]
+
[SET]
Scan Search Screen - Pg. 6-17
Scan Result Screen - Pg. 6-17
[MENU]
or
[SET]
The following contains the main beltpack menu structure and refer
-
ences the pages in which further detail of that menu may be found.
All beltpack features and special key sequences can only be done
from the group/channel screen.
Beltpack Feature Enable/Disable Menus:
Talk Button Latching/Non-Latching...........6-18
Other Special Key Sequences:
Lockout ................................6-18
1
st
Use Default............................6-18
Factory Default ..........................6-18
NOTE: Pressing [MENU] within a screen after action has occurred escapes
from that action and places the user at the current screen. Any editing that
had been done since [SET] had been pressed is aborted.
Page
Page

Table of Contents

Related product manuals