EasyManua.ls Logo

ComfortZone RX50 - Pump Diagram

Default Icon
66 pages
Print Icon
To Next Page IconTo Next Page
To Next Page IconTo Next Page
To Previous Page IconTo Previous Page
To Previous Page IconTo Previous Page
Loading...
ComfortZone RX35/RX50/RX65
service & maintenance
54
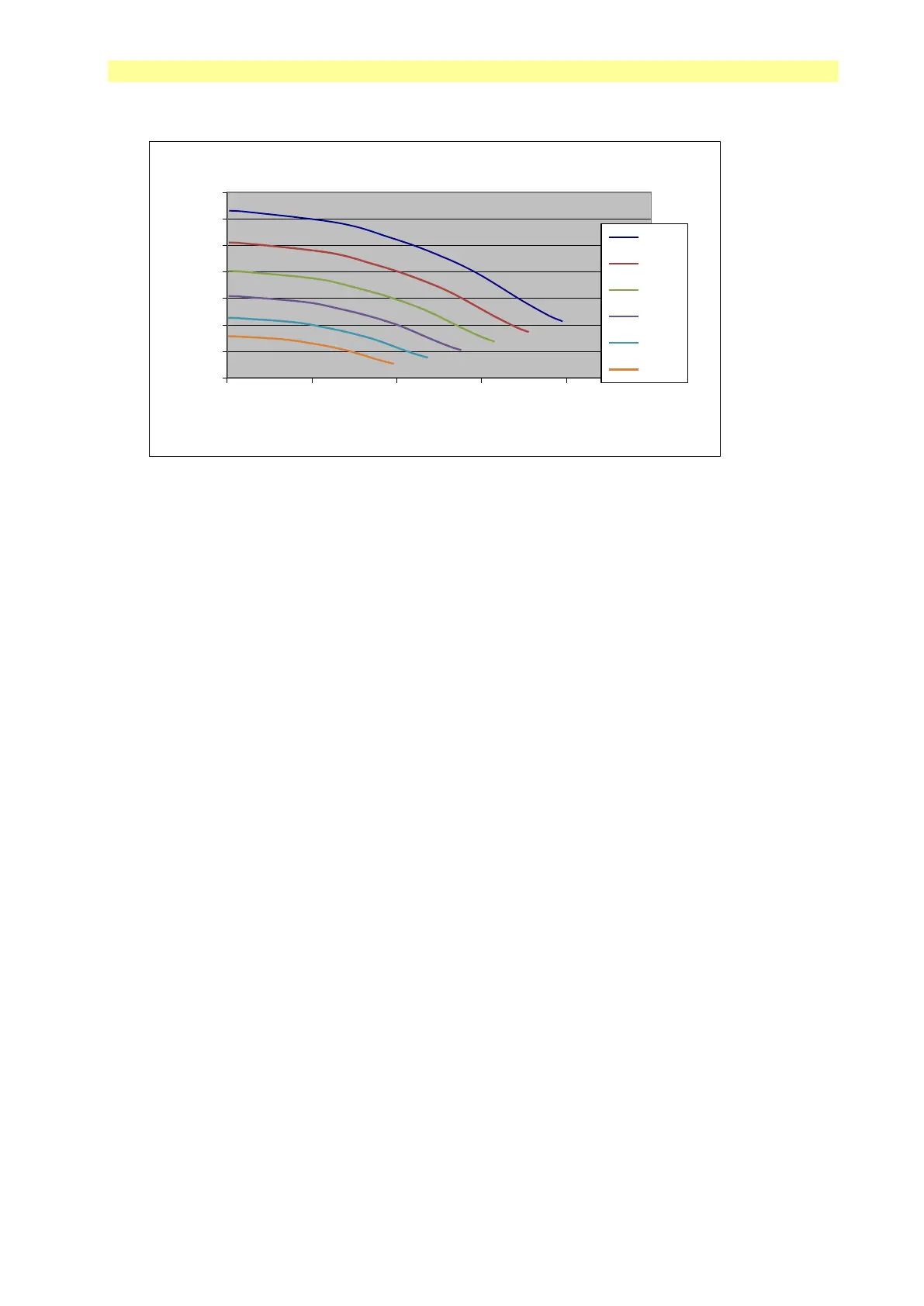
Pressure
(kPa)
14
Pump
Diagram
Diagram circulation pump RX35/50/65
70
60
50
40
30
20
10
0
100%
90%
80%
70%
60%
50%
0 0,5 1 1,5 2 2,5
Flow (m3/h)

Table of Contents

Related product manuals