EasyManua.ls Logo

D-Link DGS-1248T

D-Link DGS-1248T
60 pages
To Next Page IconTo Next Page
To Next Page IconTo Next Page
To Previous Page IconTo Previous Page
To Previous Page IconTo Previous Page
Loading...
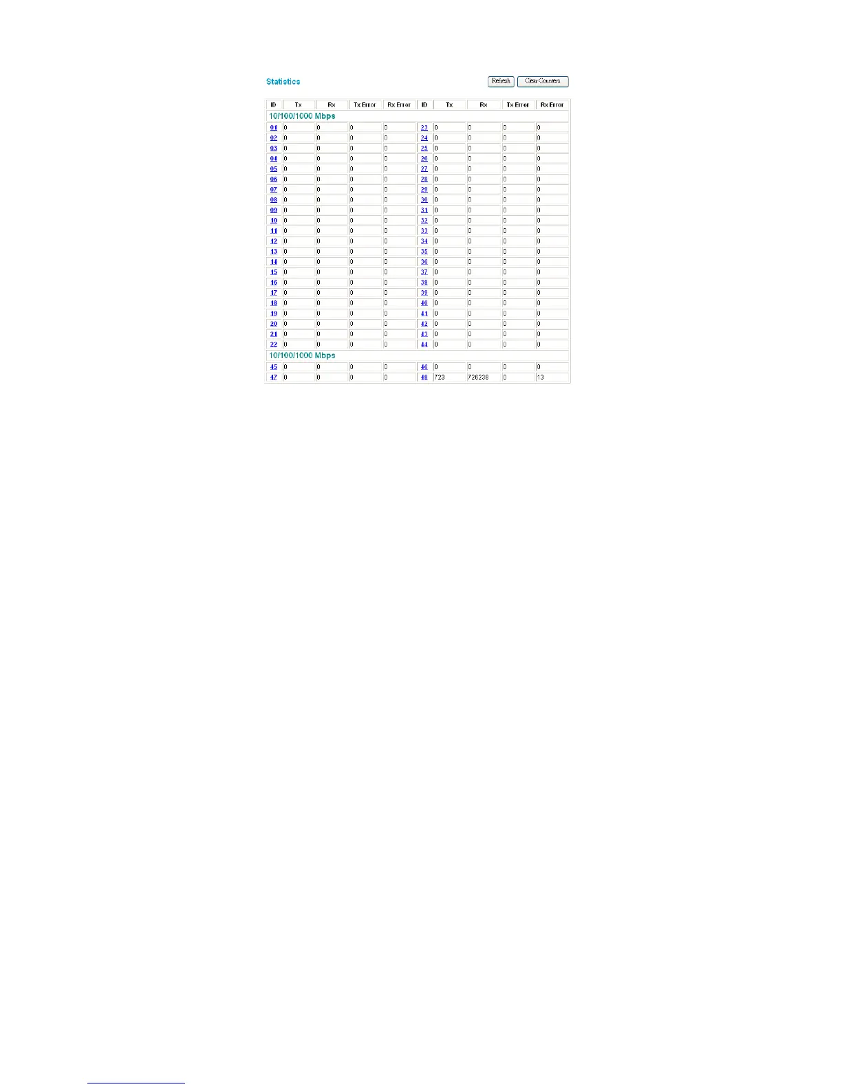
Figure 24. Statistics
For detailed packet information, click on the ID parameter as in Figure 25.
29

Other manuals for D-Link DGS-1248T

Related product manuals