EasyManua.ls Logo

Dalsa P-2 Series - Page 80

Dalsa P-2 Series
85 pages
Print Icon
To Next Page IconTo Next Page
To Next Page IconTo Next Page
To Previous Page IconTo Previous Page
To Previous Page IconTo Previous Page
Loading...
80 Piranha2 User’s Manual
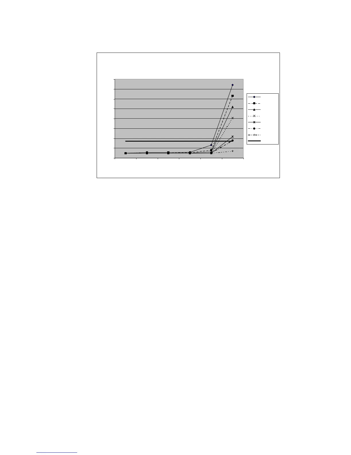
Figure 12: Worst Case Calibrated DC Offset vs. Temperature and Exposure Time
Worst case calibrated DC offset VS temperature and exposure
time
0
10
20
30
40
50
60
70
80
15.5 27.5 36.5 45 56 65.5
Camera internal Temperature C
DC Offset (DN)
999 usec
900 usec
800 usec
700 usec
600 usec
500 usec
400 usec
Limit
Notes:
Camera ambient temperature is approximately 15°C less than the internal camera
temperature.
Camera gain is 10dB
03-32-00493-11 DALSA

Table of Contents

Related product manuals