EasyManua.ls Logo

General Climate CU-S05CR - 10.12 Sleep Mode; 10.13 Auto Restart Function; 10.14 Anion (Optional)

General Climate CU-S05CR
57 pages
Print Icon
To Next Page IconTo Next Page
To Next Page IconTo Next Page
To Previous Page IconTo Previous Page
To Previous Page IconTo Previous Page
Loading...
www.generalclimate.com 31 Wall-Mounted Split Type
10.11.4 Forced Auto function
Select forced auto function with the forced auto button or the switch.
In forced auto status the A/C operates at remote control mode with a set temp. of 24
10.12 Sleep mode
10.12.1 The sleep function is available at cooling, heating or auto mode
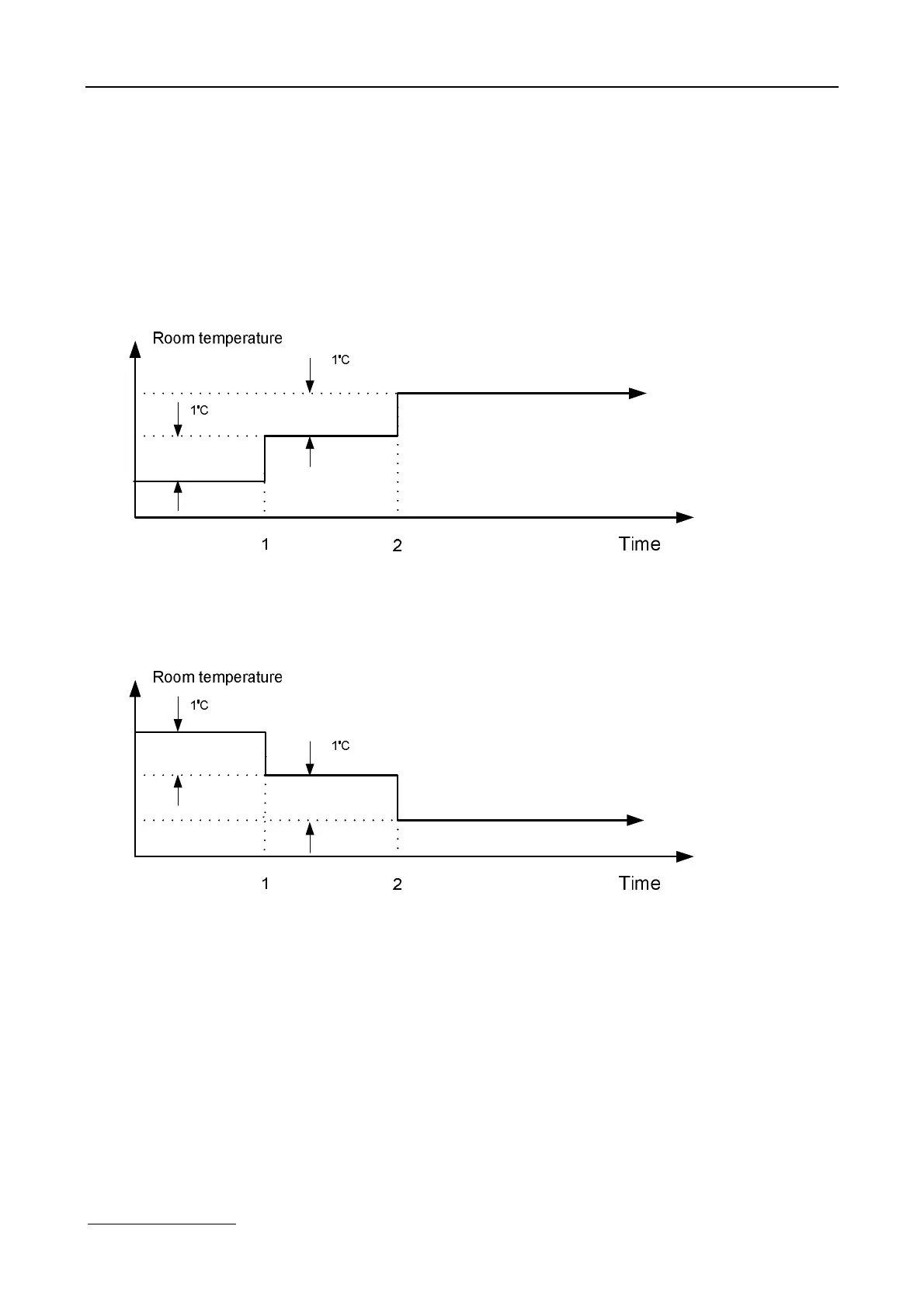
10.12.2 Cooling:
The set temperature rise 1 per hour. Two hours later, the set temperature will maintain as a constant and the fan speed is kept
at low speed.
10.12.3 Heating:
The set temperature decrease 1 per hour. Two hours later, the set temperature will maintain as a constant and the air
circulation is kept at low speed (Anti-cold function takes precedence over all).
10.12.4 Auto:
After an hour running under economic mode, the set temp will rise 1,if it is under cooling mode; the set temp will decrease 1
,if it is under heating mode; the set temp will be changeless, if it is under fan-only mode; the condition will be the same after
the air conditioner running under economic mode after 2 hours, and during the next time the set temp do not change. The total
time is 7 hours, after 7 hours the unit stops.
10.13 Auto restart function
In case of a sudden power failure, this function automatically sets the unit to previous settings before the power failure when
power returns
10.14 Anion (optional)
Starts with indoor fan.

Related product manuals