EasyManua.ls Logo

Hitachi J300 Series

Hitachi J300 Series
145 pages
To Next Page IconTo Next Page
To Next Page IconTo Next Page
To Previous Page IconTo Previous Page
To Previous Page IconTo Previous Page
Loading...
A-19
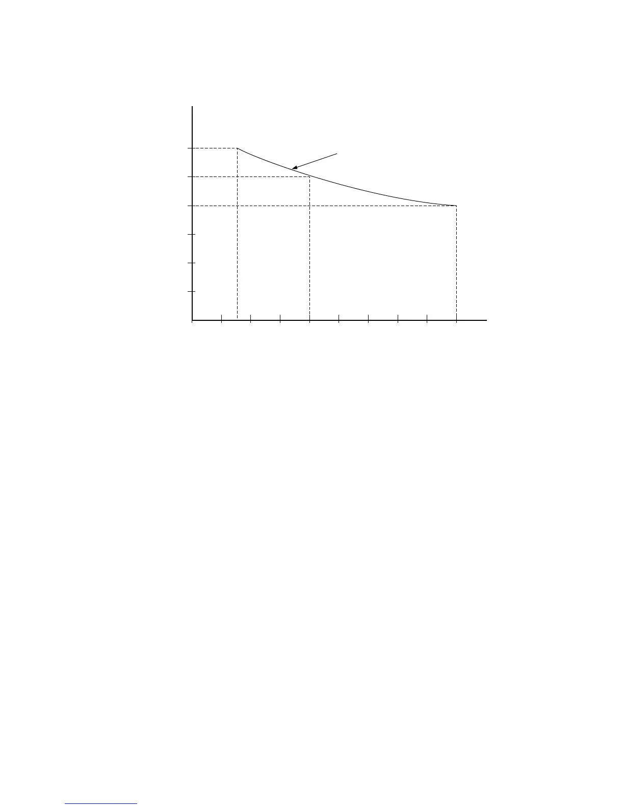
40
30
10
0
-10
12345678910
(˚C)
20
Ambient
temperature
Capacitor life (year)
50
12 hours Operation/day
Appendix 3 Capacitor Life Curve
* The ambient temperature herein means the temperature around the inverter body.
If the inverter is housed in a panel, the ambient temperature corresponds to the
temperature in the panel.
* Even when the ambient temperature is within the rating, the capacitor life is
shortened if ventilation is impeded due to bad installation conditions or dust.
CTi Automation - Phone: 800.894.0412 - Fax: 208.368.0415 - Web: www.ctiautomation.net - Email: info@ctiautomation.net

Table of Contents

Other manuals for Hitachi J300 Series

Related product manuals