EasyManua.ls Logo

Hobart 5359D - L-L

Hobart 5359D
270 pages
Print Icon
To Next Page IconTo Next Page
To Next Page IconTo Next Page
To Previous Page IconTo Previous Page
To Previous Page IconTo Previous Page
Loading...
OM 2012
4.
5.
identification
A. General
Generator sets are identified by their Specification number which consists of the
Series number plus a dash number (i.e.
-1, -2, etc.) suffix. The suffix number
indicates the mounting design of the generator set. For example, Specification
number 5359@-2 identifies a machine designed for mounting on a tow tractor.
0.
Generator Sets Avai fable in 53590 Ser’ies
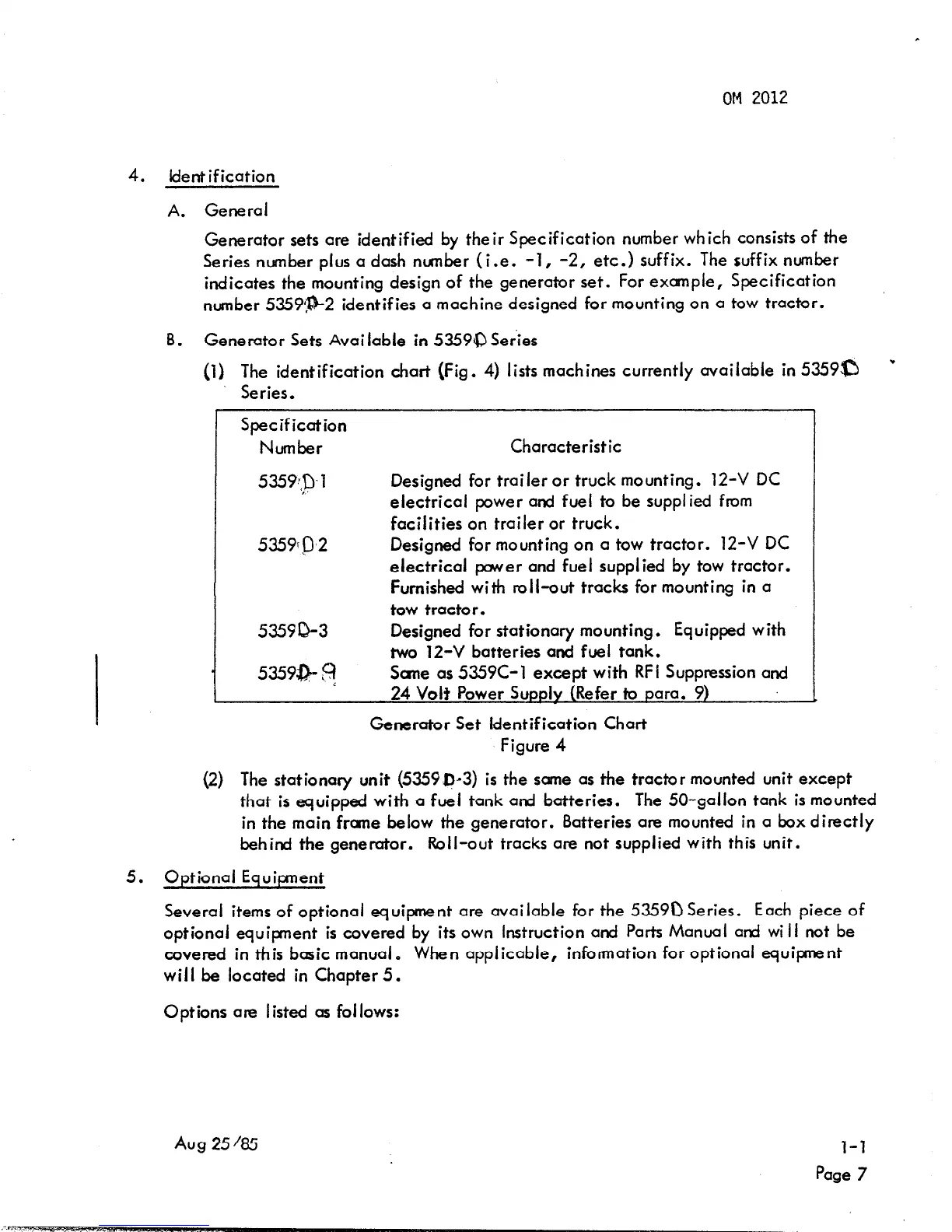
(I) The identification chart (Fig. 4) lists machines current/y available in 53590
*
Series.
Specification
Number
5359::p. 1
5359rp 2
5359B-3
5359& q
Characteristic
Designed for trailer or truck mounting. 12-V DC
electrical power and fuel to be supplied from
facilities on trailer or truck.
Designed for mounting on a tow tractor. 12-V DC
electrical mer and fuel supplied by tow tractor.
Furnished with roll-out tracks for mounting in a
tow tractor.
Designed for stationary mounting. Equipped with
two 12-V batteries and fuel tank.
Sune as 5359C-1 except with RFI Suppression and
24 Volt Power Supply (Refer to para. 9)
Generator Set ldentif ication Chart
Figure 4
(2)
The stationary unit (53590-3) is the same as the tractor mounted unit except
that is equipped with a fuel tank and batteries.
The 50-gallon tank is mounted
in the main frane below the generator.
Batteries are mounted in a box directly
behind the generator.
Roll-out tracks are not supplied with this unit.
Optional Equipment
Several items of optional equipment are available for the 53590 Series. Each piece of
optional equipment is covered by its own Instruction and Parts Manual and wi II not be
covered in this basic manual, When applicable, information for optional equipment
wil I be located in Chapter 5.
Options are listed as follows:
Aug 25185
l-l
Page 7