EasyManua.ls Logo

HP dv6000 - Page 46

HP dv6000
233 pages
Print Icon
To Next Page IconTo Next Page
To Next Page IconTo Next Page
To Previous Page IconTo Previous Page
To Previous Page IconTo Previous Page
Loading...
2–20 Maintenance and Service Guide
Troubleshooting
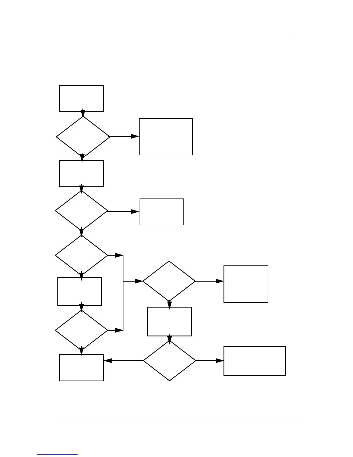
Flowchart 2.10—No OS Loading, Hard Drive,
Part 1
Go to
“Flowchart
2.17—Nonfunctioning
Device.
Y
Done
N
OS not
loading from
hard drive.
Nonsystem
disk message?
Go to
“Flowchart
2.11—No OS
Loading,
Hard Drive, Part 2.
Reseat
external
hard drive.
OS loading?
Done
Boot
from
CD?
Go to
“Flowchart
2.13—No OS
Loading,
Diskette Drive.
Boot
from
hard drive?
Boot
from
diskette?
Change boot
priority through
the Setup Utility
and reboot.
Boot
from
hard drive?
Y
Y
Y
Y
Y
N
N
N
N
N
Check the Setup
utility for correct
booting order.

Table of Contents

Related product manuals