EasyManua.ls Logo

Kamstrup MAXICAL III - Page 51

Kamstrup MAXICAL III
58 pages
Print Icon
To Next Page IconTo Next Page
To Next Page IconTo Next Page
To Previous Page IconTo Previous Page
To Previous Page IconTo Previous Page
Loading...
MAXICAL
®
III5511-229 GB/98.06/Rev. B1
51
The k-factor stated in the table, is the basis for energy
calculation in MJ, and must, therefore, be converted - using
the formulae stated earlier, when the energy is required in
other units.
NB.:
Precision resistors can be used for testing and verifying
MAXICAL
®
III. An electronic resistance simulator, e.g. based on
voltage-controlled FET, is not suitable as MAXICALs measuring
current is intermittant (pulsing).
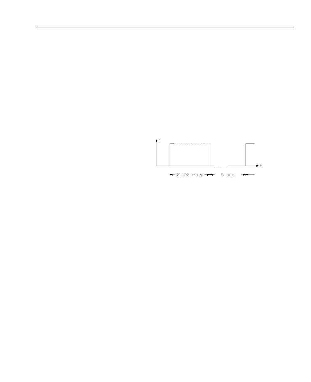
The measuring current (I) is approx. 2.5 mA for the Pt100 version
and approx 0.5 mA for the Pt500 version. The measuring se-
quence will, depending on the flow and return temperatures, take
from 10 to 120 msec. The Measurements will be repeated at 5
second intervals.
13.2
SS
SS
S Quick-figure
The sum of the Quick-figure, e.g. determined during verification,
is called S Quick-figure. The figure can be up to 999999 starting
again at 0 for 1.000.000. The Quick-figure can be read over the
data output and on the display - described in chapter 13.
The calculated total Quick-figure, which MAXICAL
®
III ideally
should note during verification, can be calculated from the true
energy multiplied by the high-resolution Quick-factor:
Quickfigure = E
GJ
x Q
GJ
or E
MWh
x Q
MWh
,

Related product manuals