EasyManua.ls Logo

Keithley 2651A - Section 6 Characterization of power discretes

Keithley 2651A
76 pages
Print Icon
To Next Page IconTo Next Page
To Next Page IconTo Next Page
To Previous Page IconTo Previous Page
To Previous Page IconTo Previous Page
Loading...
Section 6
Characterization of power discretes
In this section:
Introduction to power discrete I-V curve testing ....................... 6-1
Equipment needed for this example......................................... 6-2
Set up communication.............................................................. 6-2
Device connections .................................................................. 6-4
Configuring the trigger model ................................................... 6-5
Example program code .......................................................... 6-10
Example program usage ........................................................ 6-16
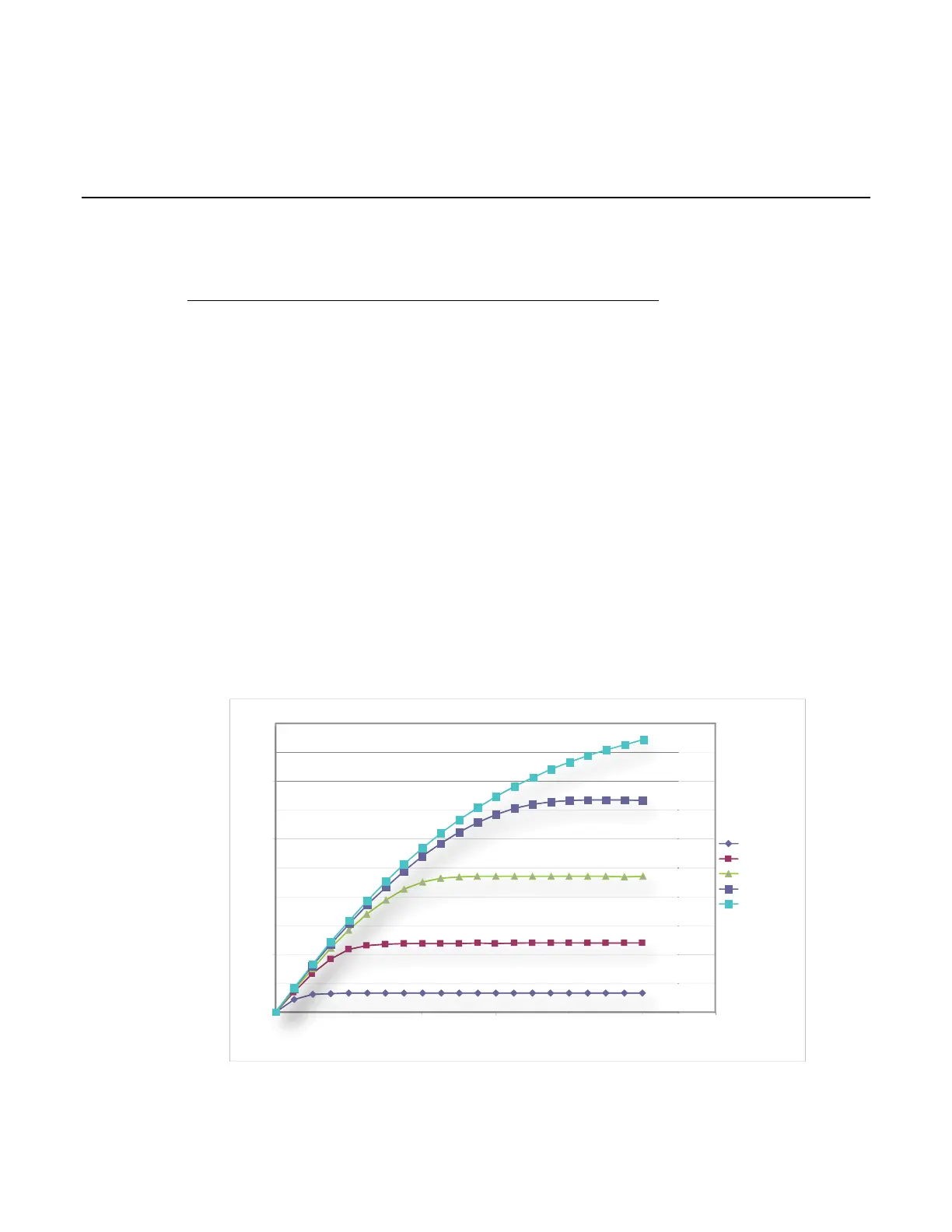
Introduction to power discrete I-V curve testing
A common test performed on power MOSFETs and IGBTs characterizes the I-V performance of the
device under test (DUT) at various gate voltages. In this test, the gate of the device is held at a
constant voltage while the voltage on the drain (or collector) of the device is swept and current is
measured. This process is repeated for several different gate voltages, and the resulting data is
plotted to show a series of I-V curves for the device. The following figure illustrates an example of this
plot for a power MOSFET device.
Figure 15: Example set of IV curves for a power MOSFET device
0
0 2 4 6 8 10 12
5
10
15
20
25
30
35
40
45
50
Vds (volts)
Ids (amperes)
Vgs = 5.00
Vgs = 6.00
Vgs = 7.00
Vgs = 8.00
Vgs = 9.00

Table of Contents

Other manuals for Keithley 2651A

Related product manuals