EasyManua.ls Logo

Keithley 2651A - Section 7 Increasing SMU current sourcing ability

Keithley 2651A
76 pages
Print Icon
To Next Page IconTo Next Page
To Next Page IconTo Next Page
To Previous Page IconTo Previous Page
To Previous Page IconTo Previous Page
Loading...
Section 7
Increasing SMU current sourcing ability
In this section:
Introduction to combining SMUs .............................................. 7-1
Combining SMUs to increase current sourcing capability ........ 7-2
Equipment needed for this example......................................... 7-3
Set up communication.............................................................. 7-3
Device connections .................................................................. 7-4
Configuring the trigger model ................................................... 7-6
Example program code ............................................................ 7-9
Example program usage ........................................................ 7-16
Introduction to combining SMUs
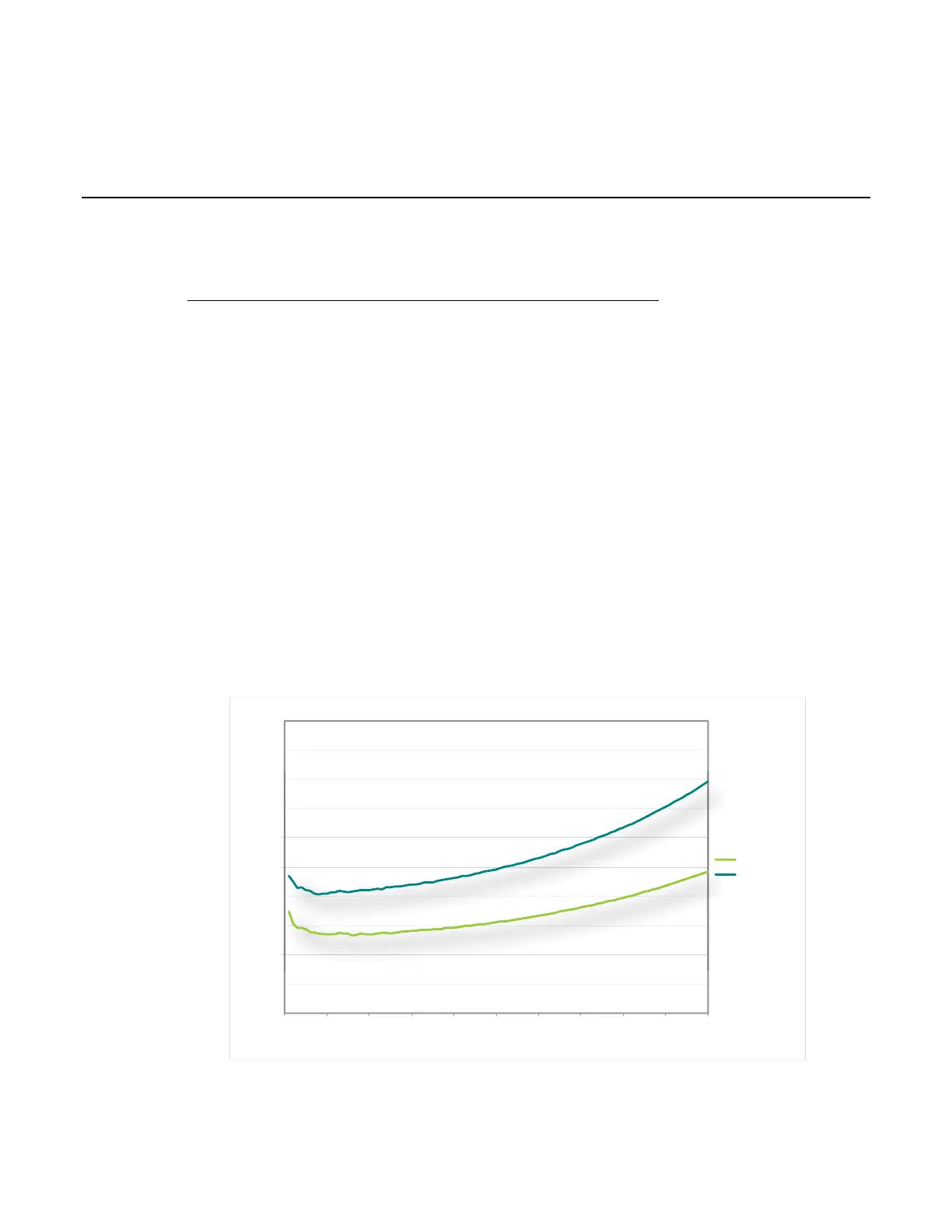
A common test performed on power MOSFETs characterizes the resistance of the device under test
(DUT). In this test, the gate of the DUT is held at a constant voltage (representing the on-state of the
device) while a current is swept through the drain and the voltage is measured. The resulting data can
be plotted to show drain current versus Rds(on) for the DUT. The following figure is an example of
this plot.
Figure 22: Example Rds(on) curves for a power MOSFET device
0.01
0 10 20 30 40 50 60 70 80 90 100
0.011
0.012
0.013
0.014
0.015
0.016
0.017
0.018
0.019
0.02
Ids (amperes)
Rds(on)
Vgs = 10 V
Vgs = 6 V

Table of Contents

Other manuals for Keithley 2651A

Related product manuals