EasyManua.ls Logo

KLS Martin Minicutter - Page 40

KLS Martin Minicutter
52 pages
Print Icon
To Next Page IconTo Next Page
To Next Page IconTo Next Page
To Previous Page IconTo Previous Page
To Previous Page IconTo Previous Page
Loading...
Instructions for Use
Electrosurgical Unit Minicutter
40 Revision 08
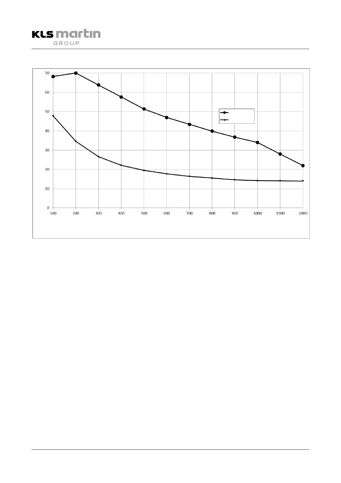
Maximum and one-half maximum output power
HF output power in W
Connection resistance in Ω
Setting 10
Setting 5

Table of Contents

Related product manuals