EasyManua.ls Logo

Lakeshore 335 - Configuration; Heater Output Type (Output 2); Max Current and Heater Resistance

Lakeshore 335
172 pages
Print Icon
To Next Page IconTo Next Page
To Next Page IconTo Next Page
To Previous Page IconTo Previous Page
To Previous Page IconTo Previous Page
Loading...
4.5.1 Heater Outputs 55
| www.lakeshore.com
4.5.1.1 Heater Output Type (Output 2)
Heater Output 2 can be configured either as a standard current source output, which
can provide up to 25 W of power into a 25 ) or 50 ) heater, or as a voltage output,
which can provide up to 1 W of power into a 100 ) heater. The Output Type parame
-
ter, only available for Output 2, determines which type of output and which rear
panel connector is used.
Menu Navigation:
Output SetupQOutput 2
QOutput Type
(Current or Voltage)
Default: Current
Interface: HTRSET
4.5.1.2 75 W Configuration
The Model 335 can provide a total of 75 W of power. In the standard configuration,
Output 1 can provide up to 50 W and Output 2 can provide up to 25 W into either a 25
) or 50 ) heater. Alternatively, when Output 2 is configured as a voltage output, its
power can be diverted to Output 1, which can then provide up to 75 W into a 25 )
heater. In this configuration, Output 2 can still provide 1 W into a 100 ) heater.
Follow this procedure to configure Output 1 for up to 75 W.
1. Set the Heater Output Type setting for Output 2 to Voltage.
2. Ensure that the Heater Resistance setting for Output 1 is set to 25 ). The 1.732 A
(75 W) setting will then be available for the Max Current setting on Output 1.
3. Apply this setting (1.732 A (75 W) setting) to get the desired 75 W output.
4. Alternatively, the User setting can be used for the Max Heater Output setting to
set the maximum current to any value from 0.1 A to 1.732 A.
Once a Max Current setting of more than 1.41 A is applied, the Heater Output Type for
Output 2 cannot be set back to Current until the Max Current setting for Output 1 is
reduced to 1.41 A or less. Refer to
section 4.5.1.1 for information about the Heater
Output Type setting. Refer to section 4.5.1.3 for information about the Max Current
and Heater Resistance settings.
Menu Navigation:
Output SetupQOutput 2QVoltageQ QOutput SetupQOutput 1Q Q Max
Current (0.1 A to 1.732 A)
Default: Current
Interface: HTRSET
4.5.1.3 Max Current and Heater Resistance
The Model 335 heater outputs are designed to work optimally into a 25 ) or 50 )
heater. The Heater Resistance and Max Current parameters work together to limit the
maximum available power into the heater. This is useful for preventing heater dam
-
age or limiting the maximum heater power into the system. When using a 25 ) or
50
) heater, set the Heater Resistance parameter accordingly. The Max Current set-
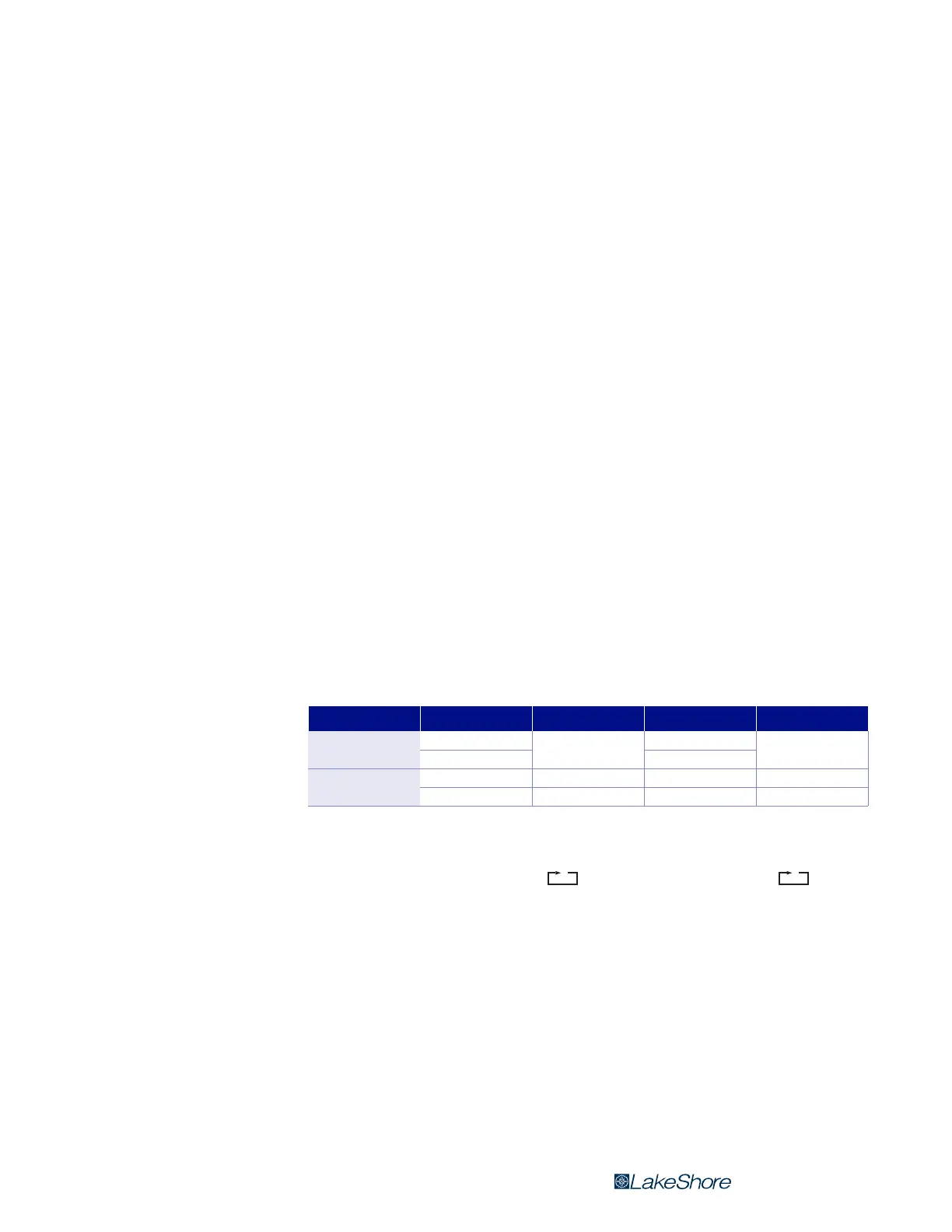
Configuration Output Source output Power Heater
50 W + 25 W
Output 1
Current
Up to 50 W
25 ) or 50 )
Output 2 Up to 25 W
75 W + 1 W
Output 1 Current Up to 75 W 25 )
Output 2 Voltage 1 W 100 )
TABLE 4-10 Heater output configurations
ENTER
ENTER

Table of Contents

Related product manuals