EasyManua.ls Logo

Lakeshore 335 - Softcal with Silicon Diode Sensors

Lakeshore 335
172 pages
Print Icon
To Next Page IconTo Next Page
To Next Page IconTo Next Page
To Previous Page IconTo Previous Page
To Previous Page IconTo Previous Page
Loading...
82 cHAPTER 5: Advanced Operation
Model 335 Temperature Controller
Calibration data points must be entered into the Model 335. These calibration points
are normally measured at easily obtained temperatures like the boiling point of cryo
-
gens. Each algorithm operates with one, two, or three calibration points. The range of
improved accuracy increases with more points.
There are two ways to get SoftCal™ calibration data points: you can record the
response of an unknown sensor at well controlled temperatures, or you can purchase
a SoftCal™ calibrated sensor from Lake Shore. There are advantages to both methods.
D User: when you can provide stable calibration temperatures with the sensor
installed, SoftCal™ calibration eliminates errors in the sensor measurement as
well as the sensor. Thermal gradients, instrument accuracy, and other measure
-
ment errors can be significant to some users. Calibration can be no better than
user-supplied data.
D Purchased: Lake Shore sensors with SoftCal™ calibration include a set of calibra-
tion points in the calibration report. The SoftCal™ calibration points are gener-
ated in a controlled calibration facility at Lake Shore for best accuracy. The
calibration points can be entered into the Model 335 so it can generate a curve. If
the CalCurve™ service is purchased with the calibrated sensor, the curve is also
generated at the factory and can be entered like any other curve.
5.10.1 SoftCal™ with
Silicon Diode Sensors
Lake Shore silicon diode sensors incorporate remarkably uniform sensing elements
that exhibit precise, monotonic, and repeatable temperature response. For example,
the Lake Shore DT-400 Series of silicon diode sensors have a repeatable temperature
response from 2 K to 475 K. These sensors closely follow a standard curve. SoftCal™ is
an inexpensive way to improve the accuracy of an already predictable sensor.
A unique characteristic of DT-400 Series diodes is that their temperature responses
pass through 28 K at almost exactly the same voltage. This improves SoftCal™ algo
-
rithm operation by providing an extra calibration data point. It also explains why
SoftCal™ calibration specifications are divided into two temperature ranges, above
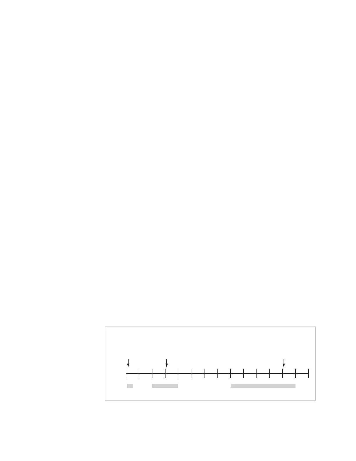
and below 28 K. See
FIGURE 5-9.
D Point one: calibration data point at or near the boiling point of helium, 4.2 K.
Acceptable temperature entries are 2 K to 10 K. This data point improves
between the calibration data point and 28 K. Points two and three improve tem
-
peratures above 28 K.
D Point two: calibration data point at or near the boiling point of nitrogen (77.35 K).
Temperatures outside 50 K to 100 K are not allowed. This data point improves
accuracy between 28 K and 100 K. Points two and three together improve accu
-
racy to room temperature and above.
D Point three: calibration data point near room temperature (305 K). Temperatures
outside the range of 200 K to 350 K are not allowed.
FIGURE 5-9 Acceptable temperature range for DT-400 series silicon diode SoftCal™ sensors
SoftCal Point One
Liquid helium
boiling point
4.2 K
SoftCal Point Two
Liquid nitrogen
boiling point
77.35 K
SoftCal Point Three
Room temperature
point
305 K
2 – 10 K 50 – 100 K 200 – 325 K
325 3503002752502252001751501251007550250

Table of Contents

Related product manuals