EasyManua.ls Logo

LG MULTI AMNQ09GSJAA - Sound Levels

LG MULTI AMNQ09GSJAA
72 pages
Print Icon
To Next Page IconTo Next Page
To Next Page IconTo Next Page
To Previous Page IconTo Previous Page
To Previous Page IconTo Previous Page
Loading...
MULTI Standard
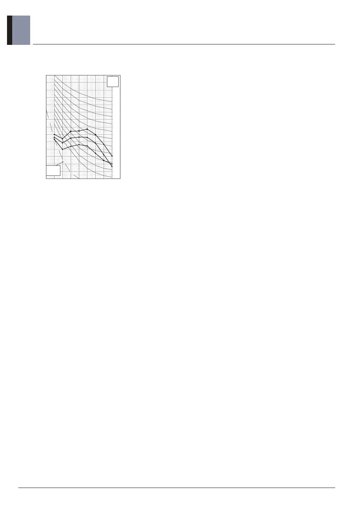
7. Sound levels
14
Indoor Unit
AMNQ24GSKAA
10
15
20
25
30
35
40
45
50
55
60
65
70
75
80
63 125 250 500 1000 2000 4000 8000
Octave Band Sound Pressure Level (0dB = 20μPa )
Octave Band Center Frequency (Hz)
NC-15
NC-20
NC-25
NC-30
NC-35
NC-40
NC-45
NC-50
NC-55
NC-60
NC-65
Approximate
Hearing
Threshold
High
Middle
Ǹ Low

Related product manuals