EasyManua.ls Logo

Marantz HD-DAC1 - SCHEMATIC DIAGRAMS (Digital 1;3)

Marantz HD-DAC1
94 pages
Print Icon
To Next Page IconTo Next Page
To Next Page IconTo Next Page
To Previous Page IconTo Previous Page
To Previous Page IconTo Previous Page
Loading...
GND LINE
POWER- LINE
POWER+ LINE
STBY POWER
SPDIF
ANALOG Lch
ANALOG Rch SIGNAL DSD/PCM
AUDIO_DSD/PCM
EPM
DIR1_CIDO
VSS_9
44/48
AMUTE
FL_CS
DIR1_RST
VOL_UP(KEY2)
DSD_MUTE_F
USBB_MUTE
VOL_DOWN
+5V_D
MOTOR5V
GND_USB
+3.3V_D
+42V
GND_D
+3.3V_ST
P_DOWN
SHORT
STB_CNT
GND_D
VCC
RST
NC
SCL
SDA
NC
NC
GND
RESET
DAC_DATA_IN
VSSA
CTL_USB
CLT_+3.3USBB
CLT_+1.8USBB
XOUT
VSS_5
XIN
VBAT
AE1_CTS
DIR1_CFLUG
P_DOWN
CONT5
ACP_SDA
ACP_SCL
USBB_RST
USBB_DETECT
USBB_44/48
NC
ACP_RST
PLD_DAC_SEL
NC
SIGN_SEL
OPTION
PLD_RSV3
DC_PROTECT
DAC_CS_IN
DAC_CK_IN
USBB_DSD_PCM
AE1_SIMO
AE1_SOMI
AE1_MC_SCK
USB_MODE
AE1_RTS
AE1_RST
HP_MU TE
SDA_USBB_RX
SCL_USBB_RX
D_MUTE
DAC_CONT_SEL
DAC_RST_IN
DIR1_CLK
DIR1_CE
DIR1_CODI
AE1_WP
P_CONT
E+3.3V
GND
F+3.3V
D_OFF
F+42V
RC5F
GND
LED_RED
LED_GREEN
VOL_A
KEY1
RF1
VOL_B
FPRS
PCLK
PCEN
PDAT
From POWER B'D(BN92)
From FRONT B'D(WF81)
+3.3_USB
+3.3_USB
KEY2
JTCK
JTMS
JTDO
RESET
JTDI
MCUGND
MCU+3V3
NJTRST
DEBUG
MCUGND
RESET
MCU+3V3
TX
RX
MCUGND
NC
BOOT
Rear Pannel(for Update)
VDD_7
VDD_6
VDD_4
VDD_1
VSS_1
VSS_7
VSS_6
VSS_4
VSS_2
VDD_2
VDD_9
VSS_8
VDD_8
VDD_5
VREF-
VREF
+
VDDA
VSS_10
VDD_10
VSS_11
VDD_11
VSS_3
VDD_3
KEY1
NC
NC
*OPTION
*OPTION TABLE
R138
R139
10K10K 10K
10K
X
DAC1_E4 DAC1_E3 DAC1_E2
GAIN1
GAIN2
SDA
SCL
VCC
WPNC
NC
GND
NC
USBA_DET
NC
BOOT1
NC
NC
NC
NC
NC
TRST
ADET
NC
NC
NC
OSC_IN
NC
NC
NC
NC
FL_CLK
FL_RST
FL_DA
UPDATE_TX
UPDATE_RX
NC
NC
DEBUG
NC
JTCK/SWDIO
JTDI
NC
ENC+
ENC_
OSC_OUT
KEY_ON
NC
NC(VOL_UP)
NC
NC
REMOTE
E2P_SCL
E2P_SDA
NC
NC
JTDO
NJTRST
LED_RED
LCD_OFF
LED_GREEN
BOOT0
NC
NC
NC
NC
NC
NC
GND_D
CTL_USB
MOT-
MOT+
DAC1_E1
10K
22K
N K F U
4K7
R133
1M
R134
0
Q102
HVTKRC102S
Q103
KR
A102S
R172
0
R183
0
R152
0
D103
CVD1SS355T
R153
OPEN
C101
100/16V
D101
CVD1SS355T
R169
10K
C158
0.1uF
R178
10K
R140
10K
R143
0
R144
0
R142
0
L101
CLZBLM21PG221SN1
L102
CLZBLM21PG221SN1
L103
CLZBLM21PG221SN1
C129
0.1uF
C130
1000P
L104
CLZBLM21PG221SN1
L105
CLZBLM21PG221SN1
L106
CLZBLM21PG221SN1
C107
20P
C108
20P
R184
10K
R160
0
BK11
OPEN
C162
0.1uF
C163
0.1uF
C164
0.1uF
C102
0.1uF
C109
100/16V
C113
0.1uF
C110
4.7uF
C114
47P
C112
4.7uF
C105
100/16V
C106
4.7uF
C125
100/16V
C115
0.1uF
C116
4.7uF
C118
4.7uF
C119
100/16V
C120
1000P
C121
0.1uF
C122
100/16V
C123
4.7uF
C124
4.7uF
C126
100/16V
C127
4.7uF
C131
4.7uF
C132
0.1uF
C133
47P
Q101
HVTKTC2875B
R101
47K
R102
18K
R103
47K
9
8765
4 3 2 1
IC14
CVI23671011050AS_DM
R155
2.2K
C173
1000P
C174
0.1uF
C176
10/16V
R154
2.2K
R138
10K
R139
OPTION
C161
1000P
C177
100/6.3V(PVO)
C111
0.1uF
R175
33
R161
100K
C117
OPEN
R131
OPEN
R158
10K
R159
10K
R174
100K
R109
10K
R173
10K
R106
10K
R157
OPEN
R156
OPEN
R150
10K
R151
OPEN
R149
10K
R148
10K
R147
10K
R146
10K
R145
10K
C150
0.1uF
R182
OPEN
R108
10K
R127
1K
R132
10K
R110
OPEN
R185
0
R186
0
R187
0
R188
0
R189
0
R190
0
R191
0
R192
0
L108
CLZBLM21PG221SN1
L109
CLZBLM21PG221SN1
L111
CLZBLM21PG221SN1
D107
OPEN
R105
OPEN
R104
10K
C175
0.1uF
D105
CVD1SS355T
X101
COX
08000E160ST
8.0000MHz, 16PF
C136
0.1uF
C137
0.01uF
C138
1000P
123
4 5 6
Q104
CVTFDC608PZ
Specific IC
1
2
3
4
5
IC15
CVIPQ018ENA1ZPH
L114
CLZBLM21PG221SN1
Q105
HVTKRC102S
R384
4.7K
R383
0
R380
10K
C139
0.1uF
C140
0.1uF
C141
100/16V
C142
100/16V
L115
CLZBLM21PG221SN1
R381
0
Specific IC
1
2
3
4
5
IC16
CVIPQ012ENB1ZPH
R382
10K
C143
0.1uF
C144
0.1uF
C145
100/16V
L116
CLZBLM21PG221SN1
C134
0.1uF
C135
100/6.3V(PVO)
L113
CLZBLM21PG221SN1
R112
1K
R180
47K
R119
0
R141
0
144
143
142
141
140
139
138
137
136
135
133
134
132
131
130
129
128
127
126
125
124
122
123
121
120
119
118
117
116
115
114
113
112
111
110
109
108 107 106 105 104 103 102
101 100 99 98 97 96 9 5 94 93 92 9 1 90 89 88 87 8 6 85 84 83 8 2 81 80 79 78 77 76 75 74 7 3
72
71
70
69
68
67
66
65
64
63
62
61
60
59
58
57
56
55
54
53
52
51
50
49
48
47
46
45
44
43
42
41
40
39
38
37
363534333231302928272625242322212019181716151413121110987654321
IC11
CVISTM32F101ZE
9
8
7
6
5
4
3
2
1
WF14
CJP09GA193ZY
R179
47K
C156
0.1uF
C155
0.1uF
C154
0.1uF
C153
0.1uF
C152
0.1uF
C157
0.1uF
C160
0.1uF
C159
0.1uF
C151
0.1uF
R107
0
7
6
5
4
3
2
1
WF13
CJP07GB310ZY
R117
470K
R118
47K
D104
OPEN
R123
1K
R121
100K
R126
47K
R129
100
R125
4.7K
D102
1SS355
C128
0.1uF
C148
1uF
Q107
2
SC3052
R128
100K
Q106
2SC3052
R120
1K
R124
10K
R122
1K
C149
0.1uF
C147
0.015u
3
NC
VDD
GND
CDOU T
2
4
51
IC13
CVIPST8425NR_A
R130
56
R137
56
R135
56
R136
56
R162
56
R163
56
R164
56
R170
0
R171
0
R168
10K
R167
10K
R177
56
R176
56
C103
0.1uF
R114
47K
R113
47K
R116
47K
C104
1000P
R181
1K
D106
CVD1SS355T
R111
10K
Q108
HVTKRC102S
R115
47K
C178
0.1uF
1514131211108 97654321
CN11
CJP15GA208ZY
D108
CVD1SR159-200
R371
2.2
123
CN12
CJP03GA208ZY
R373
2.2K
R372
47K
R376
2.2K
C179
0.1uF
R377
47K
R375
2.2K
R374
47K
R378
2.2K
R379
47K
T101
T103
T102
19
1816
1715
14
13
12
11
10
9
8
7
6
5
4
3
2
1
WF11
CJP19GA291ZN
R165
0
R166
0
R193
0
R194
0
C146
100/16V
R195
0
C182
0.1uF
C184
1000P
C183
0.01uF
C185
0.1uF
C187
1000P
C186
0.01uF
8765
4 3 2 1
IC12
CVIK24C16BSIRGA
Q114
HVTKRC102S
Q113
HVTKRC102S
Q110
CVT2SA1365
Q111
CVT2SC3440
Q112
CVT2SA1365
Q109
CVT2SC3440
C180
1/16V
C181
1/16V
C188
100/6.3V(PVO)
DAC_DA TA_IN
DAC_C K_IN
DAC_C S_IN
CONT 5.
ACP_S DA
ACP_S CL
D_MUT E
D_MUT E.
INT_ EXT
DAC_C ONT_ SEL
DAC_RST_IN
USBB_44/48
33_VCCIO
GND
GND
MCU+3 V3
33_VCCIO
GND
GND
GND
33_VCC_USB _A
MCU+3 V3
GND
DIR1_RST
DIR1_CIDO
DIR1_CLK
DIR1_CE
DIR1_CODI
DIR1_CFLUG
GND
MCU+3 V3
CONT 5
SIGN_SEL
DAC_C S_IN
DAC_C K_IN
D
AC_DA TA_IN
DAC_RST_IN
DAC_C ONT_ SEL
DSD_MU TE_F
DSD_MU TE_F
USBB_44/48
ACP_S CL
ACP_S DA
PLD_DAC _SEL
PLD_RSV 3
AUDIO _DSD/PC M
USBB_MO DE
PLD_DAC _SEL
PLD_RSV 3
AUDIO _DSD/PC M
USBB_MO DE
USBB_RST
USB_B _DET ECT
USBB_INT
USBB_MU TE
USBB_DSD_ PCM
33_VCCIO
GND
GND
MCU+3 V3
USBB_RST
USBB_DSD_ PCM
USBB_MU TE
USBB_INT
USB_B _DET ECT
F+42V
MCU+3 V3
GND
GND
MCU+3 V3
MCU+3 V3
33_VCCIO
AMUT E
RC5S
RC5F
+5V_D5
F+42V
33_VCC_DIR
GND
USBB3.3V
USBB1.8V
GND
USBB1.2V
GND
33_VCC_USB _A
GND
GND
44(L)/48(H)
+3.3_USB
+3.3_USB
44(L)/48(H).
+5V_D5
FL_CS
FL_
RST
KEY1
LED_RED
LED_GREEN
LCD_O FF
MCU+3 V3
GND
CONT 5
D_MUT E.
GND
DAC_C ONT_ SEL
DAC_RST_IN
DSD_MU TE_F
USBB_MO DE
AUDIO _DSD/PC M
USBB_MU TE
USBB_DSD_ PCM
USBB_44/48
PLD_DAC _SEL
SIGN_SEL
PLD_RSV 3
DIR1_CFLUG
DIR1_CFLUG
DIR1_CODI
DIR1_CE
DIR1_CLK
DIR1_CIDO
DIR1_RST
DIR1_RST
DIR1_CIDO
DIR1_CLK
DIR1_CE
DIR1_CODI
MCU+3 V3
GND
LED_RED
LCD_O FF
LED_GREEN
ENC+
ENC-
GND
GAIN1
GAIN2
HP_MU TE
44(L)/48(H)
USBB_INT
USB_B _DET ECT
USBB_RST
MCU+3 V3
E2P_SC L
KEY1
GND
GND
MCU+3 V3
GND
GND
GND
KEY1
FL_DA
FL_CLK
MCU+3 V3
GND
MCU+3 V
3
GND
GND
GND
USBA_OC_DET
E2P_SC L
E2P_SDA
E2P_SDA
GND
MCU+3 V3
DET
TRST
GND
MOTO R5V
DAC_C K_IN
DAC_C S_IN
DAC_DA TA_IN
HP_MU TE
GAIN2
GAIN1
CHGND
CTL_+3.3USB B
CTL_+1.8USB B
GND
AE1_WP
AE1_MC_ SCK
AE1_SOM I
AE1_SIMO
AE1_CTS
AE1_RTS
AE1_RST
ACP_S DA
ACP_S CL
FL_CS
FL_CLK
FL_RST
FL_DA
USBA_OC_DET
GAIN2
ACP_S DA
ACP_S CL
HP_MU TE
GAIN1
M/SEL
USBA_OC_DET
GND
ENC+
ENC-
VOL_U P
VOL_U P
KEY2
GND
GND
KEY2
MOTO R5V
CN12
TO BN82
WF11
TO WF81
CN11
TO BN92
A2
TO 2A
A3
TO 3A
A4
TO 4A
A5
TO 5A
6A
TO A6
A7
TO 7A
A8
TO 8A
A9
TO 9A
B1
TO 1B
B2
TO 2B
B3
TO 3B
B4
TO 4B
B5
TO 5B
B6
TO 6B
B7
TO 7B
B8
TO 8B
B9
TO 9B
1C
TO C1
2C
TO C2
3C
TO C3
4C
TO C4
5C
TO C5
6C
TO C6
7C
TO C7
D4
TO 4D
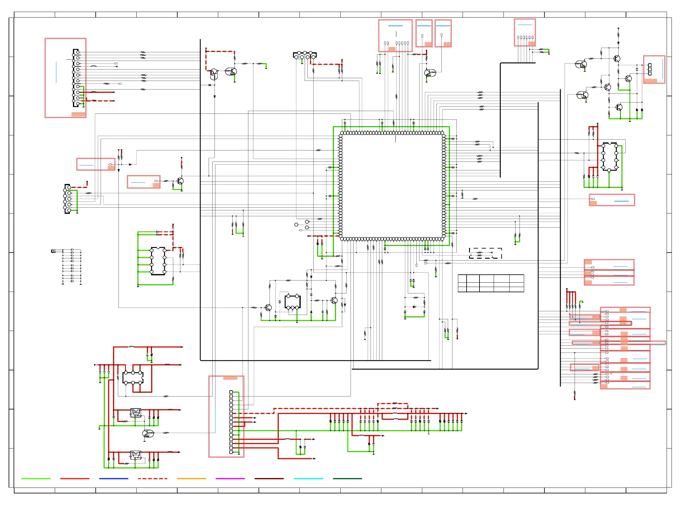
SCHEMATIC DIAGRAMS (1/2)
8U-310014 SACD UNIT (1/2)
SCHEMATIC DIAGRAMS
DIGITAL 1/3
(1/6)
56
1 2 3 4 5 6 7 8 9 10 11 12 13 14 15 16
A
B
C
D
E
F
G
H
J
K
L
M
A
B
C
D
E
F
G
H
J
K
L
M
1
2 3 4 5 6 7 8 9 10 11 12 13 14 15 16

Other manuals for Marantz HD-DAC1