EasyManua.ls Logo

Mazda 6 - System Flowchart

Mazda 6
358 pages
Print Icon
To Next Page IconTo Next Page
To Next Page IconTo Next Page
To Previous Page IconTo Previous Page
To Previous Page IconTo Previous Page
Loading...
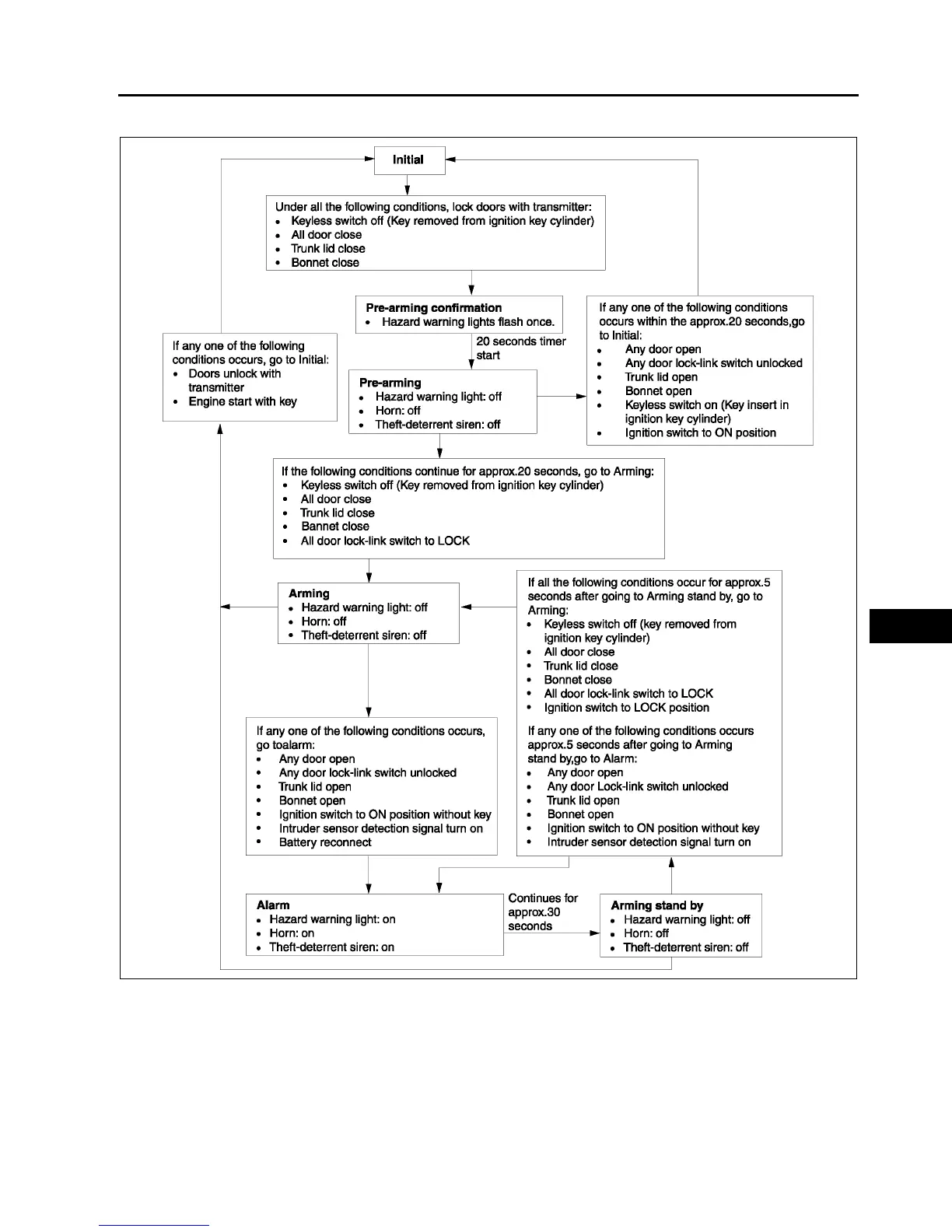
THEFT-DETERRENT SYSTEM
T45
TT
SYSTEM FLOWCHART
A6E812050000T04
End Of Sie
A6E8120T007

Table of Contents

Other manuals for Mazda 6

Related product manuals