EasyManua.ls Logo

Memmert PERFECT - Calibration Procedures; General User Calibration Guidelines; Temperature Deviation Correction Example

Memmert PERFECT
48 pages
Print Icon
To Next Page IconTo Next Page
To Next Page IconTo Next Page
To Previous Page IconTo Previous Page
To Previous Page IconTo Previous Page
Loading...
PERFECT page 32
14. Calibration
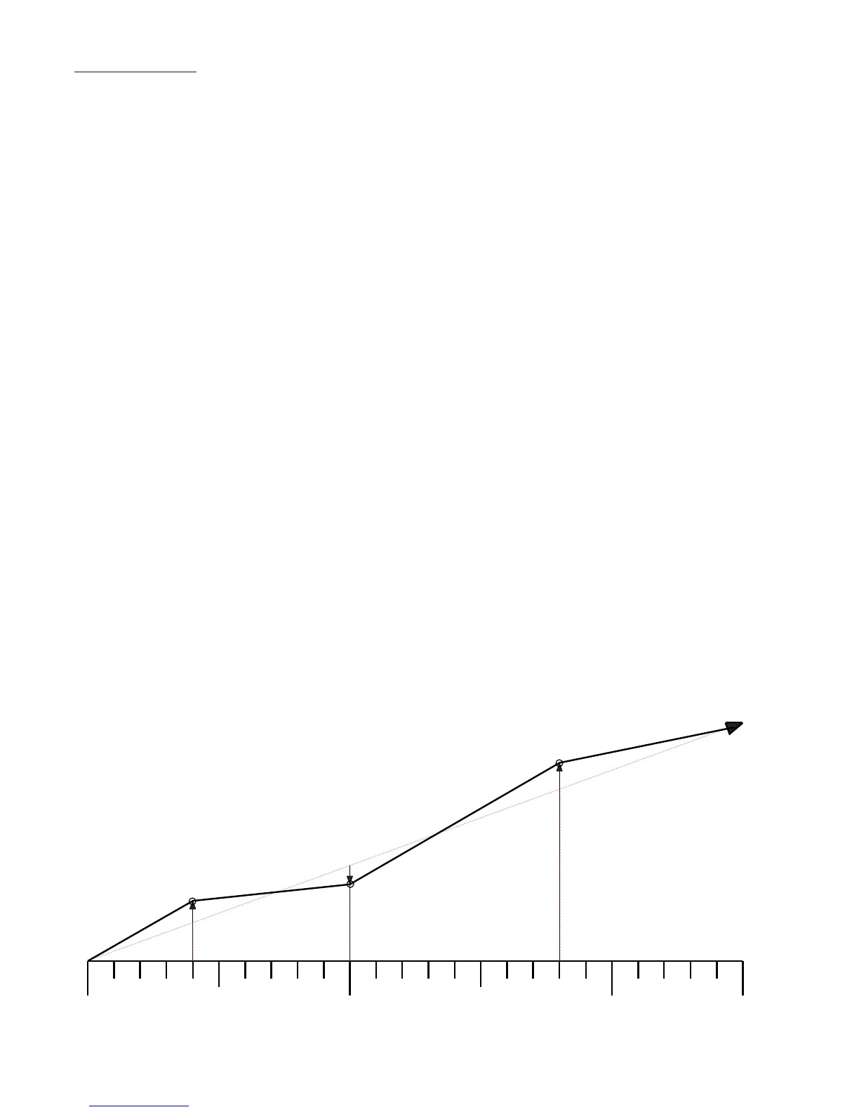
User-calibration of oven and controller, with three calibration temperatures selected by the user.
CAL1 temperature calibration at low temperature
CAL2 temperature calibration at medium temperature
CAL3 temperature calibration at high temperature
Either a positive or a negative calibration correction can be applied to each selected calibration point.
General calibration instructions:
1. Select the required calibration temperature in SETUP and set the corresponding calibration
correction to 0.0°C.
2. Measure the deviation from the selected calibration temperature under steady conditions, using a
reference instrument.
3. Set the calibration correction in SETUP. If the measured reference temperature is too low, the
calibration correction setting has to have a positive sign.
4. Carry out a check measurement using the reference meter.
5. The procedure can be carried out for up to 3 calibration temperatures.
Example: Correction of a temperature deviation in the load at 20°C.
1. Set calibration temperature CAL.2 to 20.0°C in SETUP and set the corresponding calibration
correction to 0.0°C.
2. Using a calibrated reference instrument, an actual temperature of 20.4°C is measured in normal
operation for a setpoint temperature of 20°C.
3. In SETUP set the calibration correction for CAL.2 to –0.4°C.
4. After the oven has settled down the reference instrument should read 20.0°C.
5. With CAL.1 a further calibration temperature can be programmed below CAL.2 , and with CAL.3 an
additional calibration temperature above CAL.2.
CAL 1
+0,5°C
CAL 3
+0,8°C
CAL 2
-0,4°C
factory
calibration
37°C
20°C
0°C
5°C

Table of Contents

Related product manuals