EasyManua.ls Logo

Midea LSBLG365/MCFN - Page 65

Midea LSBLG365/MCFN
97 pages
Print Icon
To Next Page IconTo Next Page
To Next Page IconTo Next Page
To Previous Page IconTo Previous Page
To Previous Page IconTo Previous Page
Loading...
Flooded type water cooled screw chiller (PCB Control) MCAC-CTSM-2012-11
65
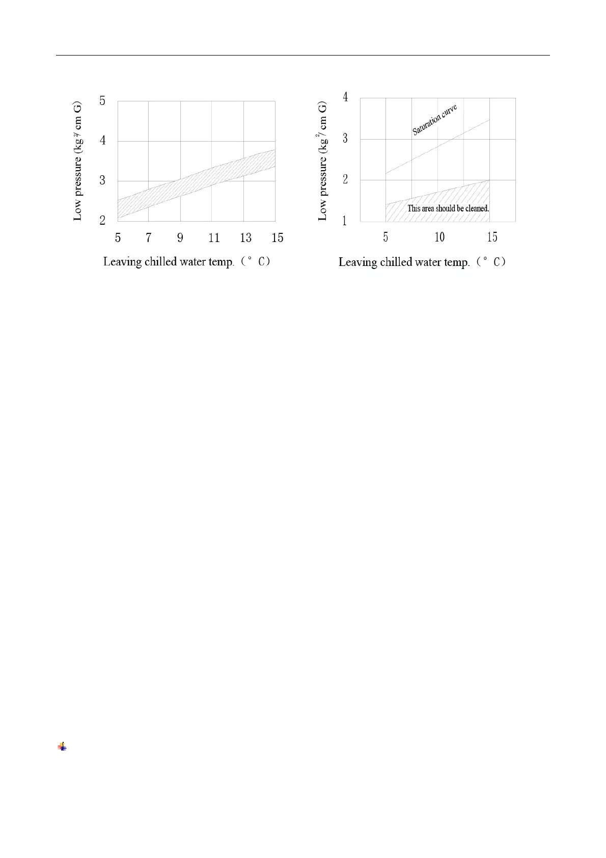
Low pressure-chilled water temperature (low pressure beyond 0.14~0.37MPa is abnormal)
Fig.27 Low pressure at full load (standard unit)
Cleaning work must be done when too much scale found. Physical and chemical cleaning can be
chosen according to the device you have. Generally, chemical cleaning is much easier to carry out.
Methods are as below and the services of a qualified water treatment specialist should be obtained to
develop and monitor a treatment program.
a) Cycle under normal temp. (A):
(Volume of condenser+ volume of pipes+ volume of container)×1/3
Note: concentration of detergent ——33%
b) Cycle under normal temp. (B):
(Volume of cooling tower flume + volume of condenser+ volume of pipes)×1/10
Note: concentration of detergent ——10%
Warning: When doing cleaning with unit stops, volume of cooling tower flume can be 1/2 or 1/3 of rated
value; but if doing cleaning with unit is runs, the volume of cooling tower flume should keep rated value.
Midea assumes no responsibility for pressure vessel damage resulting from untreated or improperly
treated water.
c) Precautions of chemical cleaning
When doing cleaning please wear rubber gloves and do not expose your skin or your clothes to the
detergent. In case of touching the detergent, please wash with clean water immediately.
The container for detergent should be made of plastic or glass rather than lead.
The used detergent should be neutralized with lime or soda before draining.
Detergent is harmful to human body; please keep it away from children.
Turn on the unit to check the effect after cleaning work done. If necessary, please do cleaning again.
Water Treatment
Before every start-up, clean and flush the cooling water circuit. Make sure tower blow-down or bleed-off

Related product manuals