EasyManua.ls Logo

Mooney M20R - Troubleshooting R-134 A Airconditioning System

Default Icon
360 pages
Print Icon
To Next Page IconTo Next Page
To Next Page IconTo Next Page
To Previous Page IconTo Previous Page
To Previous Page IconTo Previous Page
Loading...
SERVICE
AND
MAINTENANCE
MANUAL
W120R
MOONEY
AIRCRAFT
CORPORATION
2167´•´•00
Therefore,
it
is
necessary
forthe
service
personnel
to
di-
TROUBLESHOOTING
R-134a
agnose
the
discrepancy
by
troubleshooting
the
system
AIRCONDITIONING
SYSTEM
and
its
components.
To
assist
in
this
diagnosis
the
fol-
lowing
troubleshooting
list
is
provided.
There
may
be
a
time
when
the
system
does
not
operate
and/or
perform
in
accordance
with
information
contained
herein.
NOTE
Refer
to
electrical
and
refrigerant
schematics,
Figure
21-1
and
Figure
21-2
respectively.
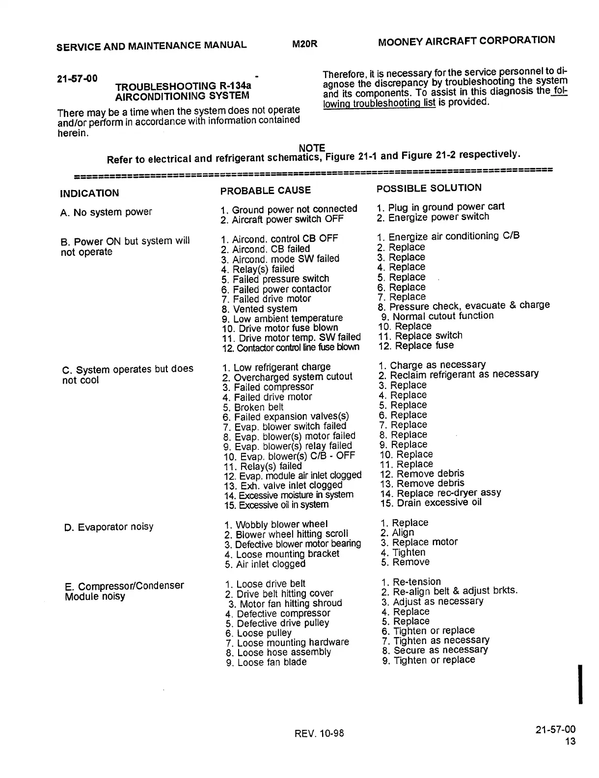
INDICATION
PROBABLE
CAUSE
POSSIBLE
SOLUTION
A.
No
system
power
1.
Ground
power
not
connected
i.
Plug
in
ground
power
cart
2.
Aircraft
power
switch
OFF
2.
Energize
power
switch
B.
Power
ON
but
system
will
i.
Aircond,
control
CB
OFF
i.
Energize
air
conditioning
C/B
not
operate
2.
Aircond.
CB
failed
2.
Replace
3.
Aircond.
mode
SW
failed
3.
Replace
4.
Relay(s)
failed
4.
Replace
5.
Failed
pressure
switch
5.
Replace
6.
Failed
power
contactor
6.
Replace
7.
Failed
drive
motor
7.
Replace
8.
Vented
system
8.
Pressure
check,
evacuate
charge
9.
Low
ambient
temperature
9.
Normal
cutout
function
10.
Drive
motor
fuse
blown
10.
Replace
11.
Drive
motor
temp.
SW
failed
11.
Replace
switch
12.
Contactor
control
line
fuse
blown
12.
Replace
fuse
C.
System
operates
but
does
i.
Low
refrigerant
charge
1.
Charge
as
necessary
not
cool
2.
Overcharged
system
cutout
2.
Reclaim
refrigerant
as
necessary
3.
Failed
compressor
3.
Replace
4.
Failed
drive
motor
4.
Replace
5.
Broken
belt
5.
Replace
6.
Failed
expansion
valves(s)
6.
Replace
7.
Evap.
blower
switch
failed
7.
Replace
8.
Evap.
blower(s
motor
failed
8.
Replace
9.
Replace
9.
Evap.
blower(s
relay
failed
10.
Evap.
blower(s)
CIB-
OFF
10.
Replace
11.
Relay(s)
failed
11.
Replace
12.
Evap.
module
air
inlet
clogged
12.
Remove
debris
13.
Exh.
valve
inlet
clogged
13.
Remove
debris
14.
Excessive
moisture
in
system
14.
Replace
rec-dryer
assy
15.
Excessive
oil
in
system
15.
Drain
excessive
oil
D.
Evaporator
noisy
1.
Wobbly
blower
wheel
1.
Replace
2.
Blower
wheel
hitting
scroll
2.
Align
3.
Defective
blower
motor
bearing
3.
Replace
motor
4.
Loose
mounting
bracket
4.
Tighten
5.
Air
inlet
clogged
5.
Remove
E.
Compressor/Condenser
1´•
Lease
drive
belt
i.
Re-tension
Module
noisy
2.
Drive
belt
hitting
cover
2.
Re-align
belt
adjust
brkts.
3.
Motor
fan
hitting
shroud
3.
Adjust
as
necessary
4.
Defective
compressor
4.
Replace
5.
Defective
drive
pulley
5.
Replace
6.
Loose
pulley
6.
Tighten
or
replace
7.
Loose
mounting
hardware
7.
Tighten
as
necessary
8.
Loose
hose
assembly
8.
Secure
as
necessary
9.
Loose
fan
blade
9.
Tighten
or
replace
REV.
10-98
21-57-00
13
Island Enterprises

Table of Contents

Other manuals for Mooney M20R

Related product manuals