EasyManua.ls Logo

Motorola MOTOTRBO XPR 7550e - Troubleshooting Flow Chart for Controller (Sheet 2 of 5)

Motorola MOTOTRBO XPR 7550e
205 pages
To Next Page IconTo Next Page
To Next Page IconTo Next Page
To Previous Page IconTo Previous Page
To Previous Page IconTo Previous Page
Loading...
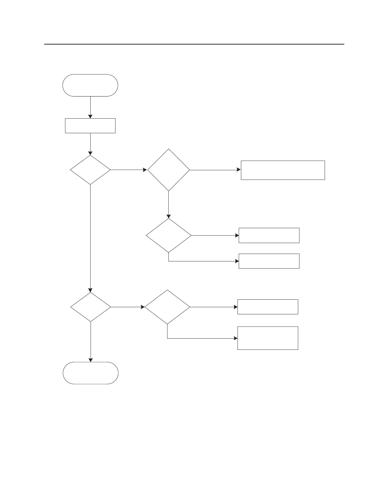
Troubleshooting Charts 5-9
Figure 5-9.Troubleshooting Flow Chart for Controller (Sheet 2 of 5)
Check Microprocessor/
Memory Section
Load Kernel
OK?
Ensure No Process
Issue
FlashZap
Flashing OK?
Microprocessor/ Memory
Section OK!
BOOT Pins
Voltage Level
Correct?
Change Microprocessor IC
(U1000)
No
No
No
NoNo
Check BOOT Pins
Resistor Value
Yes
Yes
YesYes
Yes
USB Connection
OK?
Check USB/ GPIO Switch
(U3330)
Change mDDR (U2000) and/
or NAND Flash (U2100)
Check
19.2 MHz at
U1081(Pin 4)
Ok?
Check 38.4 MHz clock at U0001
CLK_OUT (C0034, E0021) and FGU
Section

Table of Contents

Related product manuals