EasyManua.ls Logo

Motorola MOTOTRBO XPR 7550e - Page 60

Motorola MOTOTRBO XPR 7550e
205 pages
To Next Page IconTo Next Page
To Next Page IconTo Next Page
To Previous Page IconTo Previous Page
To Previous Page IconTo Previous Page
Loading...
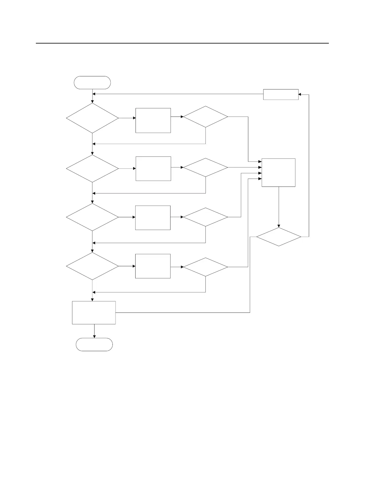
5-30 Troubleshooting Charts
Figure 5-30.Troubleshooting Flow Chart for GOB 2 (Sheet 2 of 2)
* To check SSI lines, GOB needs to connect with radio
* SSI activity will only continue if the connectivity with radio is successful on power up
and within 4sec.
* All the SSI lines must be probed with oscilloscope.
SSI_CLK
Vcc=1.8V,
Freq=1024kHz
Yes
Is SSI_CLK
Available?
Yes
Yes
Check SSI_CLK
Path for Process
Issue.
SSI_FSYNC
Vcc=1.8V,
Freq=8kHz
No
No
Check
SSI_FSYNC
Path for Process
Issue.
Is SSI_FSYNC
Available?
Yes
SSI_RX
Available?
Vcc=1.8V
No
Check SSI_RX
Path Check for
Process Issue.
Is SSI_RX
Available?
Is SSI_TX
Available?
Vcc=1.8V
Yes
No
Check SSI_TX
Path Check for
Process Issue.
Is SSI_TX
Available?
Yes
Yes
OB connection
End
OB connectivity
successful
Inspect
Microcontroller
balls (U5103)
for process
issue
Is issue found
with U5103?
Rework U5103
Yes
Yes
No
No
No
No
No

Table of Contents

Related product manuals