EasyManua.ls Logo

Normstahl SPARK - Applications with Generic Sectional Doors

Normstahl SPARK
60 pages
Print Icon
To Next Page IconTo Next Page
To Next Page IconTo Next Page
To Previous Page IconTo Previous Page
To Previous Page IconTo Previous Page
Loading...
8
IP2449EN
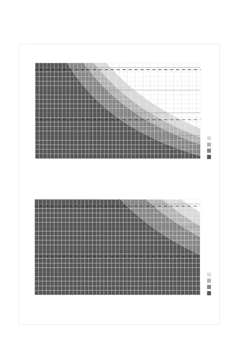
5. Applications with generic sectional doors
2000
2500
3000
3500
1500
10
11
12
14
1800 2000 2200 2400 2600 2800 3000 4600 4400 4200 4000 3800 3600 3400 3200 4800 5000 5200 5400 5600 5800 6000
2000
2500
3000
3500
1500
1800 2000 2200 2400 2600 2800 3000 4600 4400 4200 4000 3800 3600 3400 3200 4800 5000 5200 5400 5600 5800 6000
10
11
12
14
Maximum door dimensions - SPARK 600 (max door weight = 130 kg)
Maximum door dimensions - SPARK 1000 (max door weight = 200 kg)
Door width W (mm)
Door width W (mm)
Door
weight
per m
2
(kg/m
2
)
Door
weight
per m
2
(kg/m
2
)
A
B
A
B
A -H max TS200X2= 3450 mm
B - H max TS150X2 = 2350 mm