EasyManua.ls Logo

OTT Pluvio 2 S - Graphic Display of Measured Value Output for Different Precipitation Intensities

Default Icon
56 pages
Print Icon
To Next Page IconTo Next Page
To Next Page IconTo Next Page
To Previous Page IconTo Previous Page
To Previous Page IconTo Previous Page
Loading...
Please note:
When the pulse outputs are connected to
OTT dataloggers no additional wiring is required to be made. You may
directly connect the pulse outputs to the pulse inputs of an OTT datalogger.
Third-party datalogger external wiring at the pulse and status outputs must
be designed in such a way, that the limits for I
max
120 mA and U
max
28 V
will be kept in all operating conditions! Use a pull-up resistor as applicable!
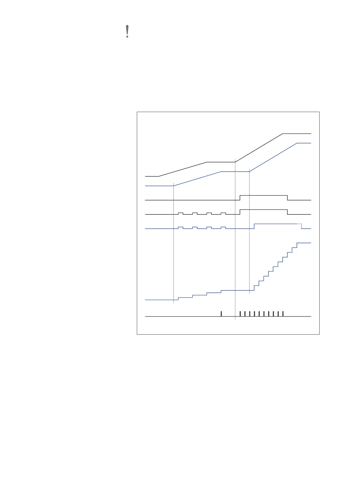
3.3 Graphic display of measured value output for different
precipitation intensities
Fig. 3: Schematic display of measured
value output for different precipitation
values of the OTT Pluvio
2
S for fine
precipitation (< 0.1 mm/min) and
precipiation (≥ 0.1 mm/min).
Thresholds of the channels
are indicated on the right.
Bucket RT
Bucket NRT
Intensity RT
Accu RT-NRT
Accu NRT
Accu total NRT
Fine precipitation
< 0,1 mm/min
Precipitation
0,1 mm/min
Pulse-Accu RT-NRT
5
min
Threshold
0,001 mm
0
,001 mm
0,1 mm/min
0,03 mm
1)
0
,03 mm
1)
0,1 mm
2)
1)
within one hour
2)
adjustable
0,03 mm
1)
11

Table of Contents

Related product manuals