EasyManua.ls Logo

Panasonic KX-TG2873BXS

Panasonic KX-TG2873BXS
103 pages
To Next Page IconTo Next Page
To Next Page IconTo Next Page
To Previous Page IconTo Previous Page
To Previous Page IconTo Previous Page
Loading...
47
KX-TG2873BXS/KX-TGA280BXS
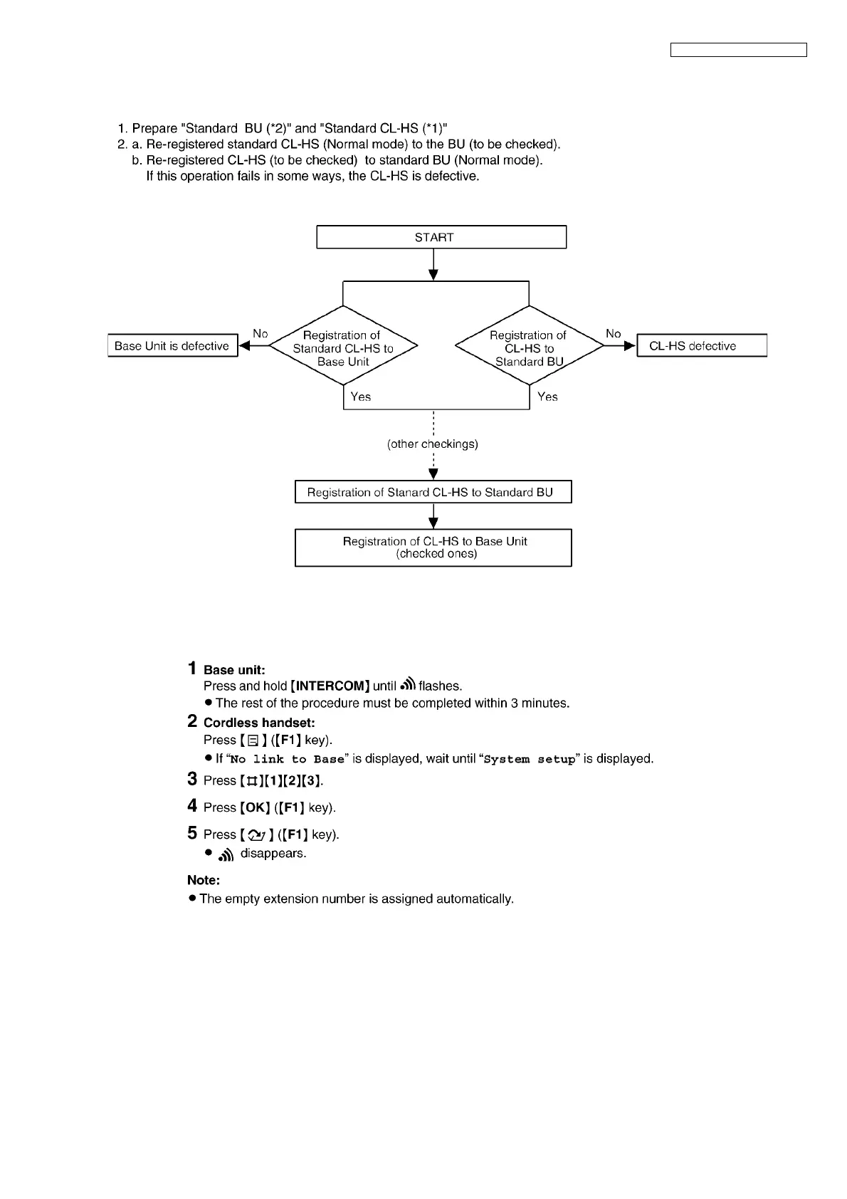
10.1.8. Check the RF part
10.1.8.1. Finding out the Defective part
After All the Checkings or Repairing
1. Re-register the checked CL-HS to the checked BU, and Standard CL-HS to Standard BU.
Note:
(*1) CL-HS: Cordless Handset
(*2) BU: Base Unit
10.1.8.1.1. Re-registering the Cordless Handset

Table of Contents

Related product manuals