EasyManua.ls Logo

Panasonic KX-TG2873BXS

Panasonic KX-TG2873BXS
103 pages
To Next Page IconTo Next Page
To Next Page IconTo Next Page
To Previous Page IconTo Previous Page
To Previous Page IconTo Previous Page
Loading...
63
KX-TG2873BXS/KX-TGA280BXS
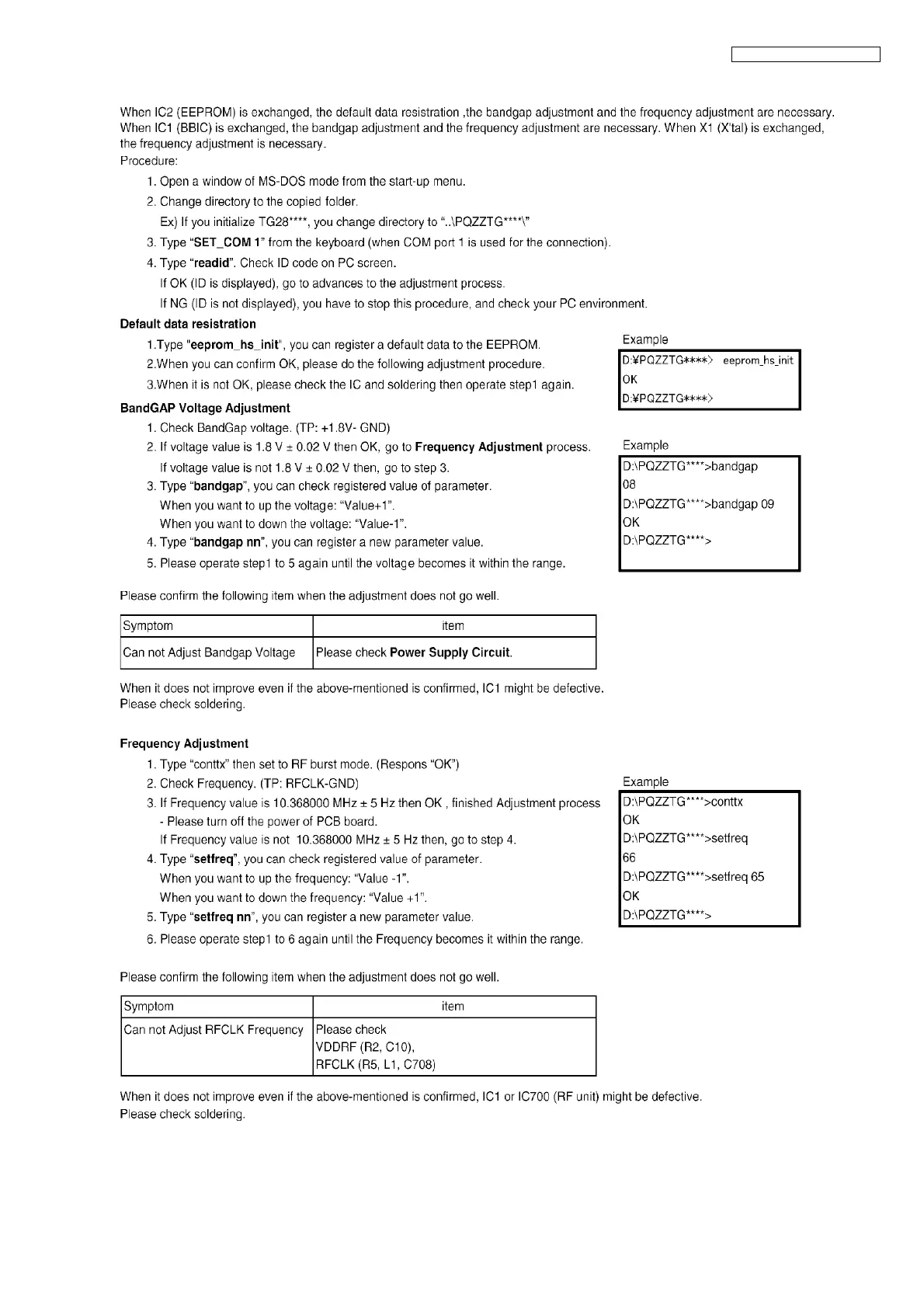
12.7. Adjustment of Cordless Handset
Cross Reference:
Power Supply Circuit (P.16)

Table of Contents

Related product manuals