EasyManua.ls Logo

Pointer Avionics skyhunter 406 - System Description

Default Icon
258 pages
Print Icon
To Next Page IconTo Next Page
To Next Page IconTo Next Page
To Previous Page IconTo Previous Page
To Previous Page IconTo Previous Page
Loading...
.).. FOINTEIIA\IONa
~
SkyHuntcr,40~
MANL:INS:SH:X:XX
1 SYSTEM DESCRIPTION
August 8 ,2013
Rev 25
The SkyHunter 406™ AF/HF models are of type Automatic Fixed, transmitting on 121.5/406.037
MHz and designed for use on either fixed or rotary wing aircraft. 6-position g-switch models are
also available for helicopter use, SkyHunter
406™ HF.
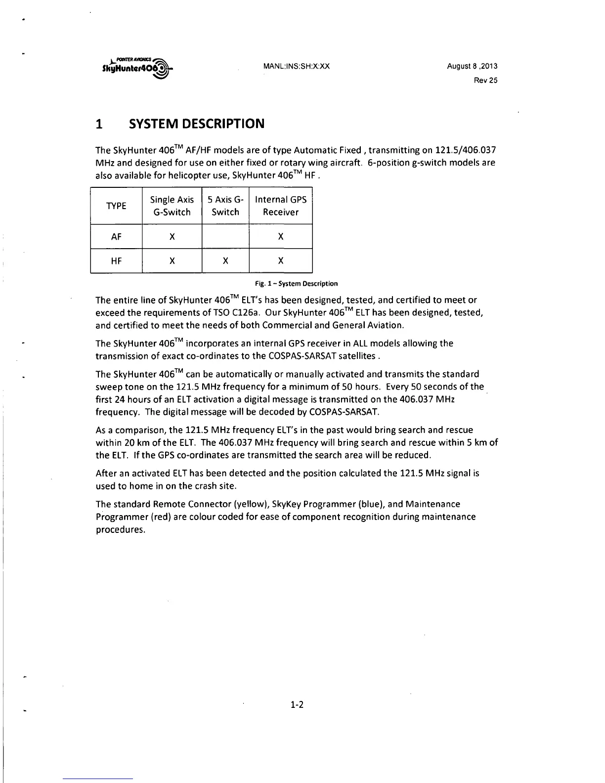
TYPE
Single Axis
5 Axis G- Internal GPS
G-Switch Switch Receiver
AF
x
x
HF
x x x
Fig. 1- System Description
The entire line of SkyHunter 406™ EL T's has been designed, tested, and certified to meet or
exceed the requirements of TSO C126a. Our SkyHunter 406 ™ EL T has been designed, tested,
and certified to meet the needs of both Commercial and General Aviation.
The SkyHunter
406™ incorporates an internal GPS receiver in ALL models allowing the
transmission of exact co-ordinates to the COSPAS-SARSAT satellites.
The SkyHunter
406™ can be automatically or manually activated and transmits the standard
sweep tone on the 121.5 MHz frequency for a minimum of 50 hours. Every 50 seconds of
the.
first 24 hours of an ELT activation a digital message is transmitted on the 406.037 MHz
frequency. The digital message will be decoded by COSPAS-SARSAT.
As a comparison, the 121.5 MHz frequency ELT's in the past would bring search and rescue
within 20 km of the ELT. The 406.037 MHz frequency will bring search and rescue within 5 km of
the EL T. If the GPS co-ordinates are transmitted the search area will be reduced.
After an activated ELT has been detected and the position calculated the 121.5 MHz signal is
used to home in on the crash site.
The standard Remote Connector (yellow), SkyKey Programmer (blue), and Maintenance
Programmer (red) are colour coded for ease of component recognition during maintenance
procedures.
1-2

Table of Contents