EasyManua.ls Logo

Pointer Avionics skyhunter 406 - Page 230

Default Icon
258 pages
Print Icon
To Next Page IconTo Next Page
To Next Page IconTo Next Page
To Previous Page IconTo Previous Page
To Previous Page IconTo Previous Page
Loading...
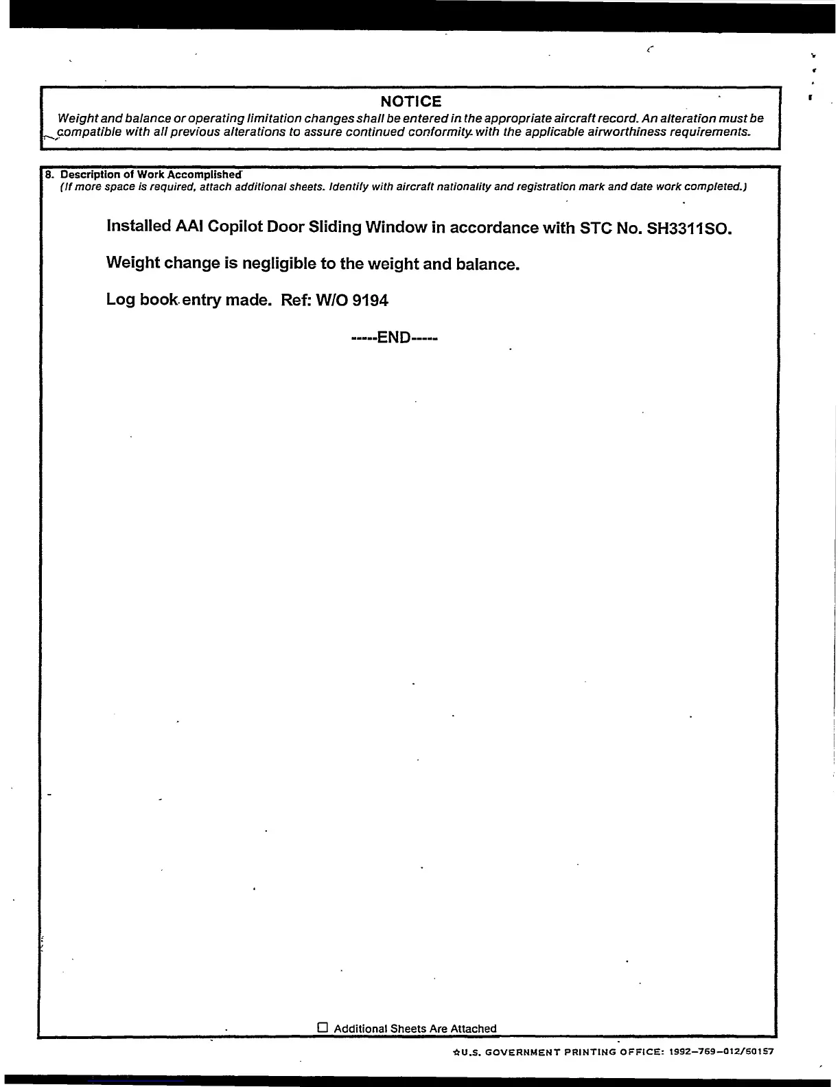
NOTICE
Weight and balance or operating limitation changes shall be entered in the appropriate aircraft record. An alteration must be
.,.._p.ompatible with all previous alterations to assure continued conformity. with the applicable airworthiness requirements.
8. Description of Work Accomplished
(If more space is required, attach additional sheets. Identify with aircraft nationality and registration mark and date work completed.)
Installed AAI Copilot Door Sliding Window in accordance with STC No. SH3311 SO.
Weight change is negligible to the weight and balance.
Log book.entry made. Ref: W/0 9194
-----END-----
D Additional Sheets Are Attached
1:tU.S. GOVERNMENT PRINTING OFFICE: t992-769-0t2/60t57

Table of Contents