EasyManua.ls Logo

Pointer Avionics skyhunter 406 - Page 242

Default Icon
258 pages
Print Icon
To Next Page IconTo Next Page
To Next Page IconTo Next Page
To Previous Page IconTo Previous Page
To Previous Page IconTo Previous Page
Loading...
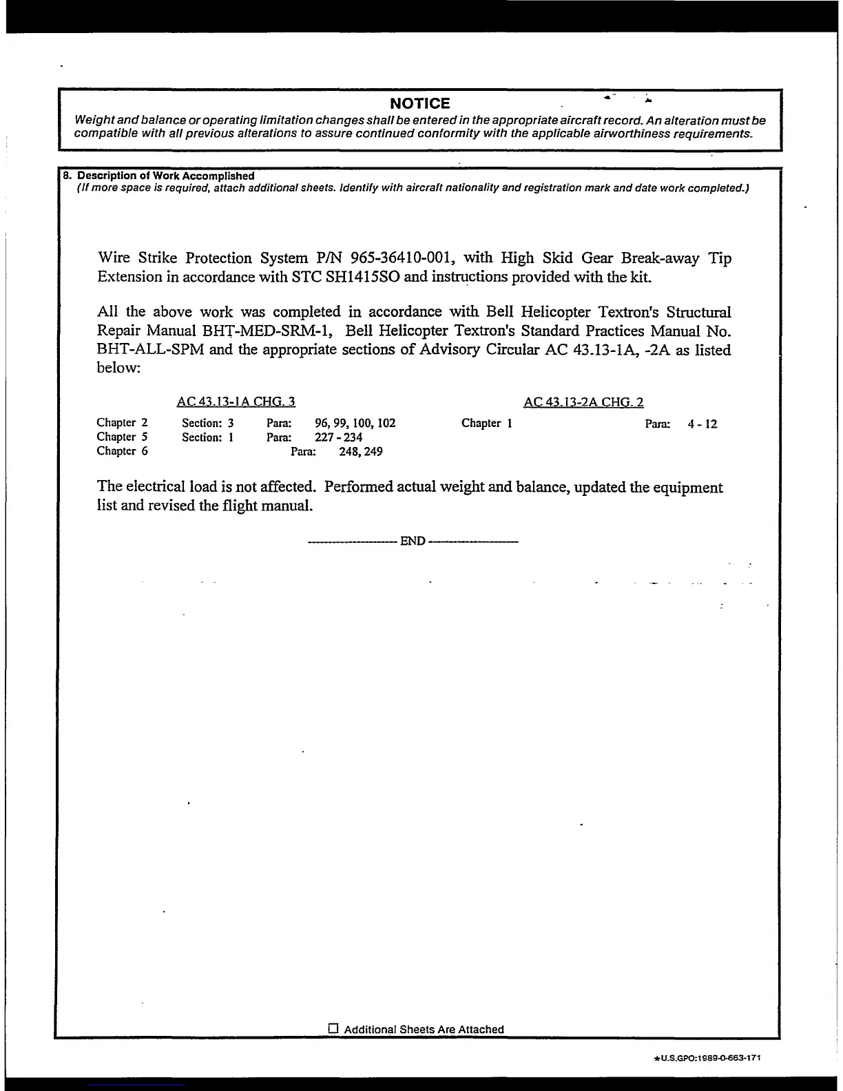
NOTICE
Weight and balance or operating limitation changes shall be entered in the appropriate aircraft record. An alteration must be
compatible with all previous alterations to assure continued conformity with the applicable airworthiness requirements.
8. Description of Work Accomplished
(If more space is required, attach additional sheets. Identify with aircraft nationality and registration mark and date work completed.)
Wire Strike Protection System PIN 965-36410-001, with High Skid Gear Break-away Tip
Extension in accordance with STC SH1415SO and instructions provided with the kit.
All the above work was completed in accordance with Bell Helicopter Textron's Structural
Repair Manual BHT-MED-SRM-1, Bell Helicopter Textron's Standard Practices Manual No.
BHT-ALL-SPM and the appropriate sections of Advisory Circular AC 43.13-lA, -2A as listed
below:
Chapter 2
Chapter 5
Chapter 6
AC 43.13-IA CHG. 3
Section: 3
Section: I
Para: 96, 99, 100, 102
Para: 227 - 234
Para: 248, 249
AC43.13-2A CHG. 2
Chapter I
Para: 4-12
The electrical load is not affected. Performed actual weight and balance, updated the equipment
list and revised the flight manual.
------END------
O Additional Sheets Are Attached
* U.S.GP0:1989-0-663-171

Table of Contents