EasyManua.ls Logo

PREVOST X3-45 2011 - Appendix E - Tpms Troubleshooting Guide

PREVOST X3-45 2011
214 pages
Print Icon
To Next Page IconTo Next Page
To Next Page IconTo Next Page
To Previous Page IconTo Previous Page
To Previous Page IconTo Previous Page
Loading...
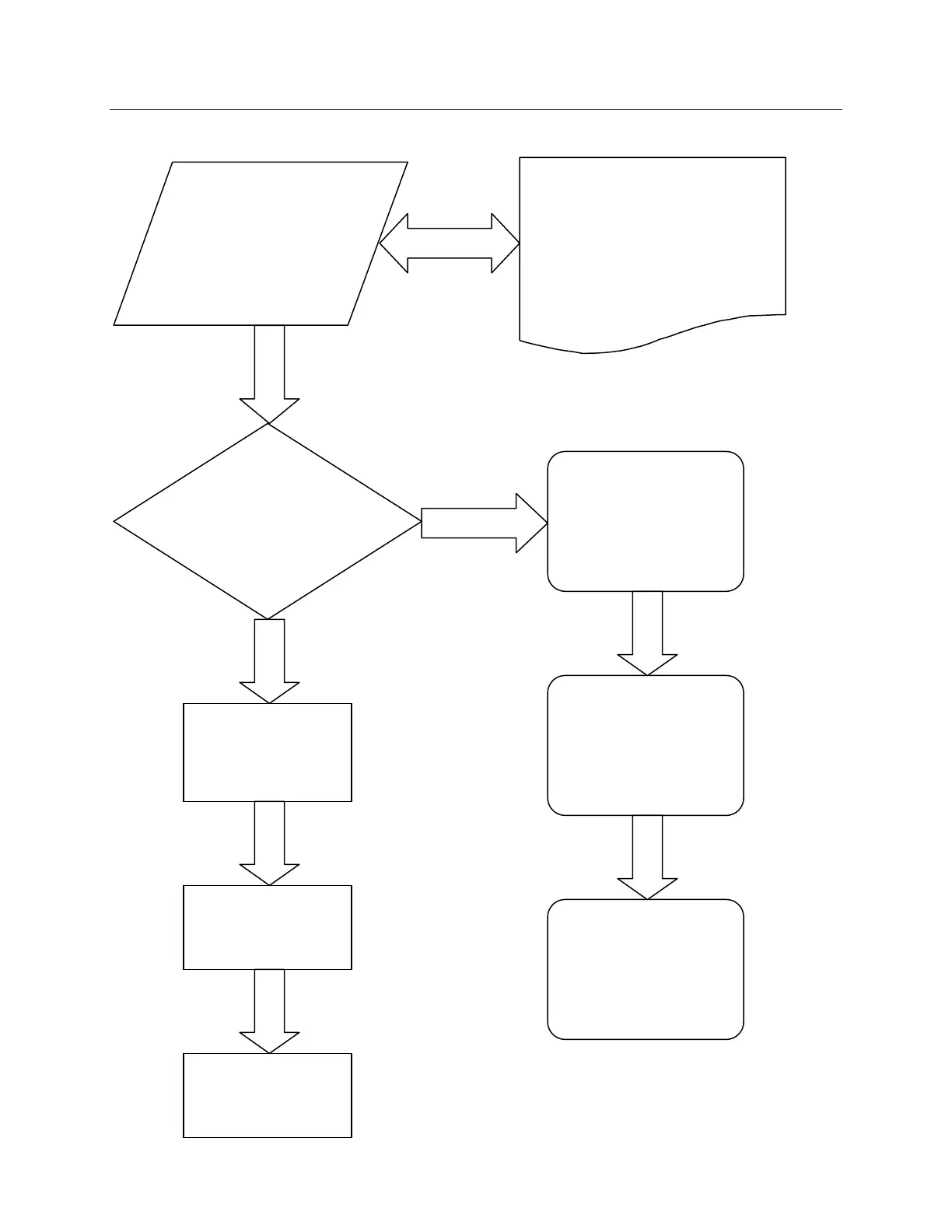
Appendix E – TPMS Troubleshooting Guide
201
NO PRESSURE
DATA
RECEIVED
Possible causes: TPMS ECU not
powered. Wheels/tires have been
changed and sensors ID # has not been
reprogrammed into the display. Wheels
have been installed without sensors.
TPMS ECU does not communicate with
display due to a CAN-D-BUS network
problem. Antennas power is short-
circuited or defective.
Cycle the ignition between
the ON and OFF position
then check if TPMS telltale
indicator illuminates for 3
seconds.
Reprogram a senso
r
using the “LEARN
WHEEL ID” menu.
Check that all
antennas are properly
connected using the
“ANTENNA STATUS”
menu.
Remove a tire to
check if the senso
r
was installed inside
Y
ES
Check TPMS ECU
fuse (F26 - 3A)
NO
Disconnect TPMS
ECU connector and
probe to confirm
proper 12V power
Check CAN-D-BUS
network between TPMS
and display

Table of Contents

Related product manuals