EasyManua.ls Logo

PROEL DSO480 - Factory Presets; Warranty Information

PROEL DSO480
44 pages
Print Icon
To Next Page IconTo Next Page
To Next Page IconTo Next Page
To Previous Page IconTo Previous Page
To Previous Page IconTo Previous Page
Loading...
39
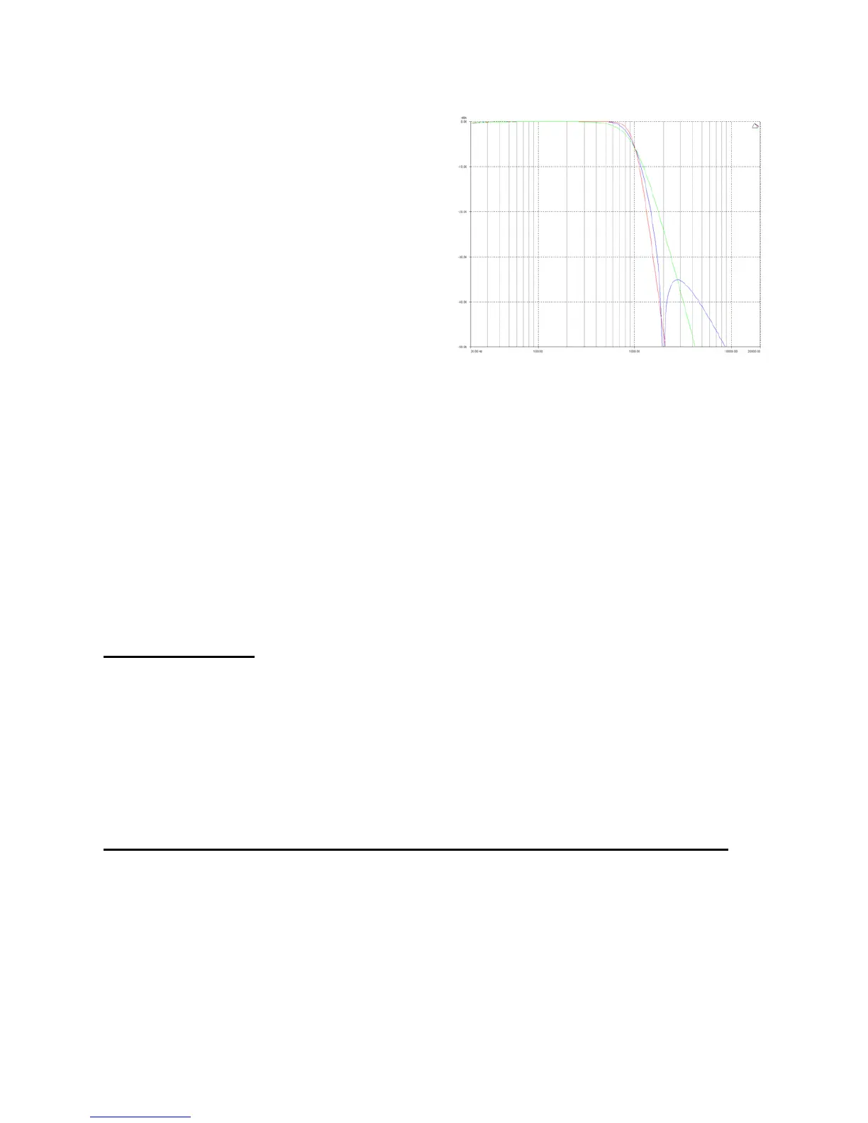
Thegraphshowsthreedifferentlowpassfiltershapes.
Number1isastandard24dB/OctaveLinkwithRiley
curve.
Number2isa48dB/OctaveLinkwitzRiley.
Ascanbeseen,number2issignificantlysteeperinroll
offthannumber1,aswouldbeexpected.
However,number3isa12dB/OctaveButterworthf
ilter
withanEllipticalLowPassfilterfollowingit.This
producesacombinedrolloffveryclosetothatofthe48
dB/Octave(withthesideeffectoftheresponserising
againaftertheinitialdropfromthepassband).
Toproduceacrossoverfilterofthisshapeitissimplyacaseofse
ttingthelow(orhigh)passfilterforthat
outputtothedesiredcrossoverfrequency,andselectinga12dB Butterworthresponse:
OP1 Output 1 HPF /~~
250Hz Butterworth 12dB
Thenselectaparametricsectiononthesameoutput,andmodifyitsbehaviour(usingtheENTERkey)untilthe
correspondingHPFEllipticalfilterissele
cted.Settheturnoverfrequencyofthisfiltertobethesameasthatof
thecrossoverfilter.Makesureyouchoseahighpassellipticaltoworkwithahighpasscrossover,andlow
passellipticaltoworkwithalowpasscrossover.
InA Input A HPF:1/~~
250Hz HP Ellip
Factorypresets
DSO480isfactorypreloadedwithpresetsforthePROELloudspeakerlines.
Thepresetswereoptimisedbyengine ersatPROELtoachievethebestperformance.
AsageneralruleSatandAuxoutputsarenotlockedandcanbeprogrammedbyuserstofulfiltheirneeds.All
Auxoutputsaremutedbydefaul
t.
Outgainistrimableandthedelaytimeisunlockedorlinkedwithanotheroutput.Thedefaulttimealignment
wascalculatedinPROEL’sanechoicchambertakingintoaccountthemostcommonspeakerplacement
positions.
Note:AlwayscheckProelwebsitehttp://www.proelgroup.comforupdatesandsoftwaredownload.
Warranty
Thisproductiswarrantedagainstdefectsincomponentsandworkmanshiponly,foraperiodoftwoyears
fromthedateofshipmenttotheenduser.
Duringthewarrantyperiod, PROELwill,atitsdiscretion,eitherrepairorreplaceproductsthatprovetobe
defective,providedthattheproductisreturned,shi
ppingprepaid,toanauthorisedPROELservicefacility.
Defectscausedbyunauthorisedmodifications,misuse,negligence,actofGodoraccident,oranyuseofthis
productthatisnotinaccordancewiththeinstructionsprovidedbyPROEL,arenotcoveredbythiswarranty.
Thiswarrantyisexclusiveandnootherwarrantyisexpressedori
mplied.
PROELisnotliableforconsequentialdamages.
1
2
3