EasyManua.ls Logo

Respironics REMstar Plus - Troubleshooting

Respironics REMstar Plus
25 pages
Print Icon
To Next Page IconTo Next Page
To Next Page IconTo Next Page
To Previous Page IconTo Previous Page
To Previous Page IconTo Previous Page
Loading...
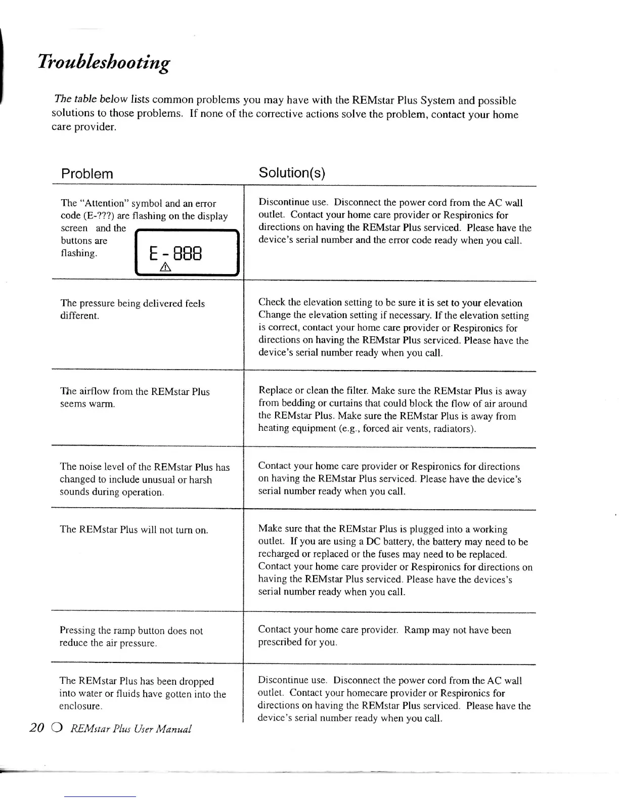
Troubleshooting
The
table below
lists common problems you may have
with
the REMstar Plus System and possible
solutions to those problems. If none of the corrective actions solve the problem, contact your home
care provider.
Problem Solution(s)
The
"Attention"
s
code
(E-???)
are
f
screen and the
buttons are
flashing.
ymhol
and an error
lashing
on the display
E-888
A
Discontinue
use. Disconnect the power cord from the AC
wall
outlet. Contact your home care provider or Respironics for
directions on having the REMstar Plus serviced. Please have the
device's serial number and the error
code
ready when you
call.
The
pressure being delivered feels
different.
Check
the elevation setting to be sure it is set to your elevation
Change the elevation setting if necessary. If the elevation setting
is
correct, contact your home care provider or Respironics for
directions on having the REMstar Plus serviced. Please have the
device's serial number ready when you
call.
The
airflow from the REMstar Plus
seems
warm.
Replace or clean the filter. Make sure the REMstar Plus is away
from
bedding or curtains that could block the flow of air around
the REMstar Plus. Make sure the REMstar Plus is away from
heating equipment (e.g., forced air vents, radiators).
The
noise level of the REMstar Plus has
changed to include unusual or harsh
sounds during operation.
Contact your home care provider or Respironics for directions
on
having the REMstar Plus serviced. Please have the device's
serial
number ready when you
call.
The
REMstar Plus
will
not
turn
on.
Make sure that the REMstar Plus is
plugged
into
a
working
outlet. If you are using
a
DC battery, the battery may need to be
recharged or replaced or the fuses may need to be replaced.
Contact your home care provider or Respironics for directions on
having
the REMstar Plus serviced. Please have the devices's
serial
number ready when you
call.
Pressing the ramp button
does
not
reduce the air pressure.
Contact your home care provider. Ramp may not have been
prescribed for you.
The
REMstar Plus has been dropped
into
water or fluids have gotten into the
enclosure.
Discontinue
use. Disconnect the power cord from the AC
wall
outlet. Contact your homecare provider or Respironics for
directions on having the REMstar Plus serviced. Please have the
device's serial number ready when you
call.
20
O
REMstar Plus
User
Mamml

Related product manuals