EasyManua.ls Logo

Retsch AS 200 - EasySieve Software

Default Icon
60 pages
Print Icon
To Next Page IconTo Next Page
To Next Page IconTo Next Page
To Previous Page IconTo Previous Page
To Previous Page IconTo Previous Page
Loading...
EasySieve®
41
9 EasySieve
®
EasySieve
®
is a software for particle size analysis and simplifies the manual evaluation in many
respects. The software is able to automatically perform the required measuring and weighing
processes from determining the weights of the test sieves to evaluating the data.
The software is structured in a self-explanatory way and follows the logical chain of events
involved in a particle size analysis. Therefore, the training period will be very short. The
abundance of evaluation options provides absolute flexibility in adapting to demanding,
individual tasks.
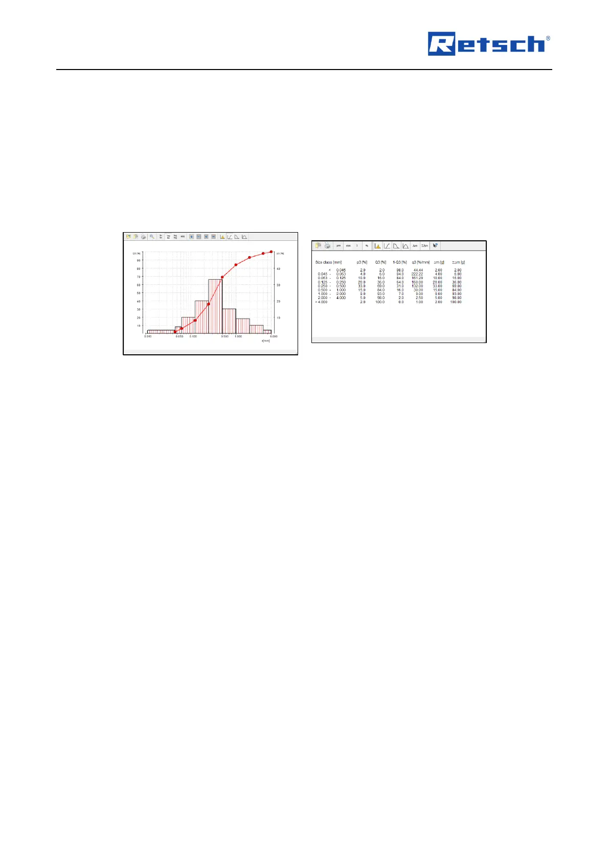
Fig. 19: Graphic and tabular presentation of the particle size analysis with EasySieve
®
The software communicates with the scale and the AS 200 control and guides the user through
the respective steps. Available parameters, as well as the characteristics to be calculated can
be entered in various edit boxes. Routine parameters can be edited, saved and recalled at any
time.
If a scale is connected, the corresponding data (empty weights of test sieves, back weights of
loaded test sieves) can be transferred directly to EasySieve
®
. If no scale is connected, the input
can also be entered manually.
The software calculates all standard particle distributions, as well as the representative
characteristics of the particle size, and allows for the tabular and graphical presentation of
results in a measurement report conforming to standards. Furthermore, the data can be
exported to other software products (e.g. Microsoft Excel).
EasySieve
®
is also available as AuditTrail enabled version in compliance with 21CFR Part 11.
A detailed description can be found in the separate manual of the software.

Table of Contents

Related product manuals