EasyManua.ls Logo

Samsung LN2A620A1F - Al Conectar Dispositivos Compatibles con D-Net (IEEE1394)

Samsung LN2A620A1F
263 pages
Print Icon
To Next Page IconTo Next Page
To Next Page IconTo Next Page
To Previous Page IconTo Previous Page
To Previous Page IconTo Previous Page
Loading...
Español - 73
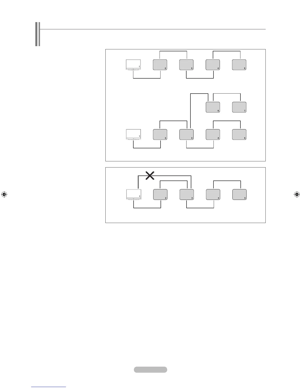
Al conectar dispositivos compatibles con D-Net (IEEE1394)
El último dispositivo de la serie no se debe conectar en bucle con el televisor, puesto que es posible que éste no funcione
con los otros dispositivos.
Para conectar dos o más dispositivos compatibles con D-Net (IEEE1394), siga este diagrama.
No se deben usar cables
IEEE1394 con una longitud
superior a los 4,5 metros entre
los dispositivos.
Se pueden conectar hasta 10
dispositivos compatibles D-Net
(IEEE1394).
Cable
IEEE 1394
Cable
IEEE 1394
Cable
IEEE 1394
Cable
IEEE 1394
Cable
IEEE 1394
Cable
IEEE 1394
Cable
IEEE 1394
Cable
IEEE 1394
Cable
IEEE 1394
Cable
IEEE 1394
No conecte dispositivos
compatibles con D-Net
(IEEE1394) de manera que se
cree un bucle.
Cable
IEEE 1394
Cable
IEEE 1394
Cable
IEEE 1394
Cable
IEEE 1394
No se deben usar cables IEEE1394 con una longitud superior a los 4,5 metros entre los dispositivos.
BN68-01800A-01Spa.indb 73 2008-10-24 �� 10:45:43

Table of Contents

Related product manuals