EasyManua.ls Logo

Samsung LN2A620A1F - Page 254

Samsung LN2A620A1F
263 pages
Print Icon
To Next Page IconTo Next Page
To Next Page IconTo Next Page
To Previous Page IconTo Previous Page
To Previous Page IconTo Previous Page
Loading...
Español - 116

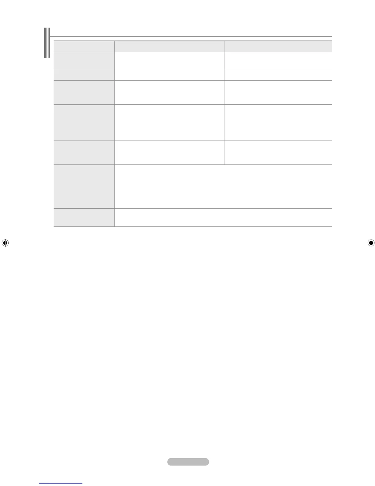
 LN32A620A1F LN40A620A1F
Tamaño de pantalla
(Diagonal)
32 pulg
(31.5 pulgadas medidas diagonalmente)
40 pulg
(39.9 pulgadas medidas diagonalmente)
PC Resolución 1920 x 1080 @ 60 Hz 1920 x 1080 @ 60 Hz
Sonido
Salida 10W X 2
(Subwoofers: 10W X 2)
15W X 2
(Subwoofers: 15W X 2)

Cuerpo principal
Con soporte
31.7 x 3.2 x 20.8
pulg
(806.0 x 81.0 x 528.2 mm)
31.7 x 9.9 x 23.0
pulg
(806.0 x 251.9 x 584.4 mm)
39.3 x 3.3 x 25.1
pulg
(998.0 x 83.4 x 638.0 mm)
39.3 x 11.8 x 27.5
pulg
(998.0 x 300.0 x 698.2 mm)
Peso
Con el soporte
Después sw plegar la base
31.7 lbs (14.4 kg)
26.9 lbs (12.2 kg)
45.6 lbs (20.7 kg)
38.6 lbs (17.5 kg)
Factores
medioambientales
Temperatura de funcionamiento
Humedad de funcionamiento
Temperatura de almacenamiento
Humedad de almacenamiento
Entre 10°C y 40°C (50°F a 104°F)
Del 10% al 80%, sin condensación
Entre -20°C y 45°C (-4°F a 113°F)
Del 5% al 95%, sin condensación
Giro del soporte
(izquierda/derecha)
-20˚ ~ 20˚
El diseño y las especicaciones están sujetos a cambios sin previo aviso.
Este dispositivo es un aparato digital de la Clase B.
Para conocer la fuente de alimentación y el consumo de energía, consulte la etiqueta adherida al producto.
BN68-01800A-01Spa.indb 116 2008-10-24 �� 10:46:09

Table of Contents

Related product manuals