EasyManua.ls Logo

Sevcon Dragon8 - Page 71

Sevcon Dragon8
92 pages
Print Icon
To Next Page IconTo Next Page
To Next Page IconTo Next Page
To Previous Page IconTo Previous Page
To Previous Page IconTo Previous Page
Loading...
System design
Doc. # 177/52705
Rev. 1.0
63
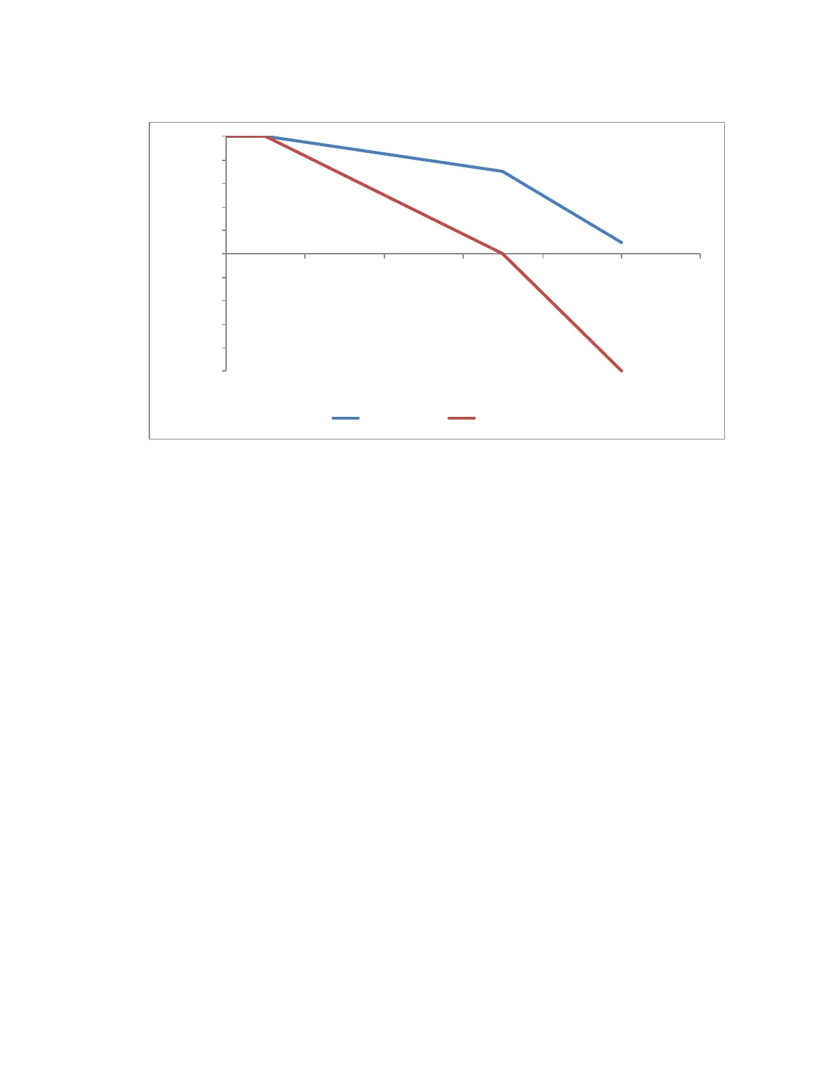
Figure 26 Graph of speed vs. steering angle
The speed and steering angle are normalized. Speed is normalized to maximum vehicle speed and the
steering angle to 90º.
In speed mode, outer wheel speed target and maximum torque is scaled according the outer wheel map.
Inner wheel speed target and maximum torque is scaled to the outer wheel demands according to the
inner wheel map.
-1
-0.8
-0.6
-0.4
-0.2
0
0.2
0.4
0.6
0.8
1
0 0.2 0.4 0.6 0.8 1 1.2
Demand (pu)
Steer angle (pu)
Outer Wheel
Inner Wheel

Table of Contents

Related product manuals