Home
Siemens
Power Supply
6EP1961-3BA21
Page 63
Siemens 6EP1961-3BA21 - Page 63
116 pages
Manual
Save Page as PDF
To Next Page
To Next Page
To Previous Page
To Previous Page
Loading...
Mounti
ng posi
tion, mou
nting
cleara
nces
4.2
Other mounting positio
ns
SITOP expansion modules
Equip
ment Manual
,
09
.2022
,
A5E366052
35
-2-
76
63
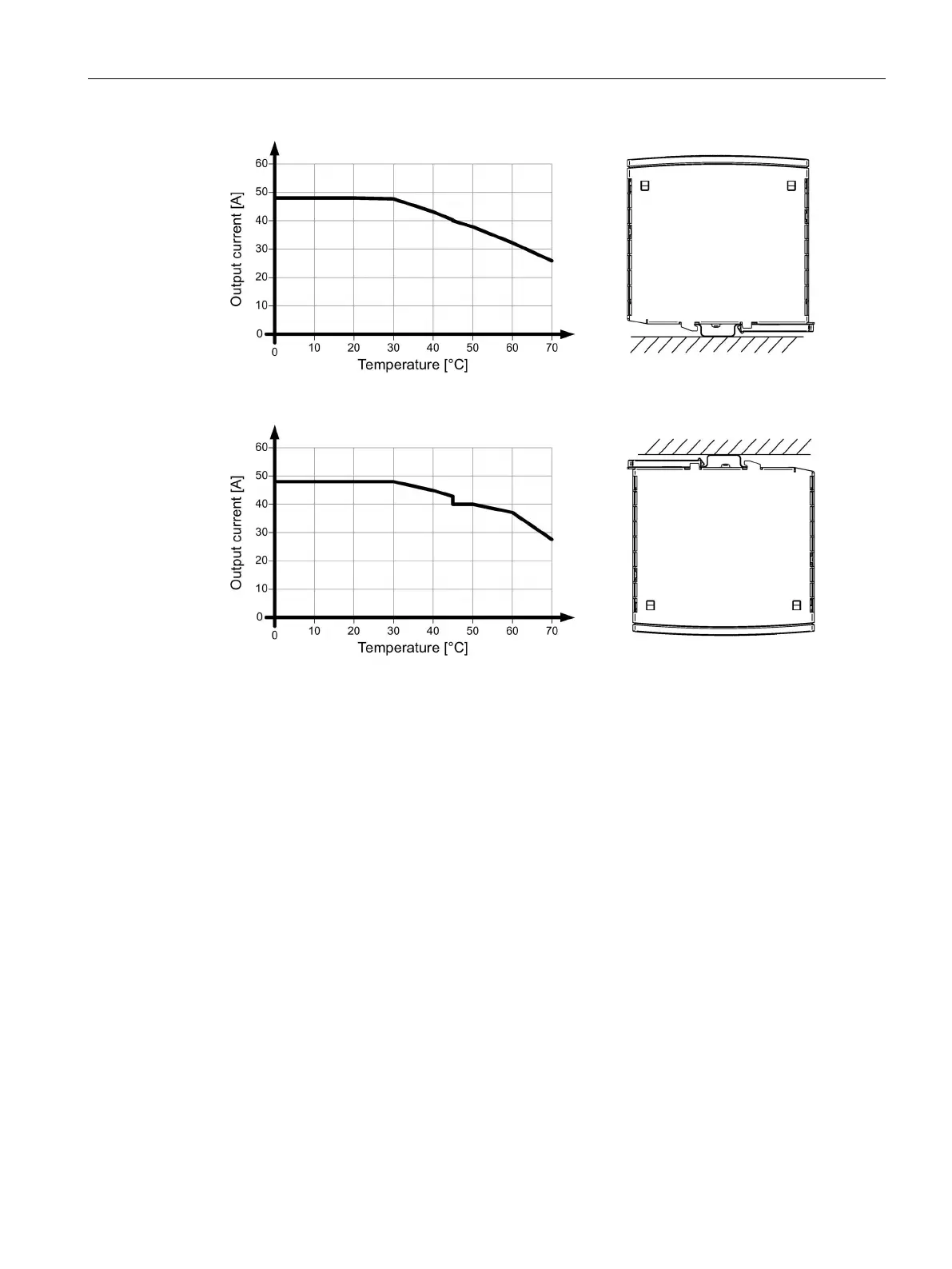
Figure
4
-
16
Mounting posit
ion 4
Figure
4
-
17
Mounting posit
ion 5
62
64
Table of Contents
Main Page
Overview
3
Table of Contents
11
Safety Instructions
15
General Safety Instructions
15
Safety Instructions for Hazardous Zones
16
Redundancy Module SITOP RED1200 Ex (6EP4347-7RC00-0AX0)
16
Buffer Module SITOP BUF1200 Ex (6EP4231-7HC00-0AX0)
16
Description, Device Design, Dimension Drawing
17
Device Description
17
Redundancy Modules
17
Sitop Red1200
17
Sitop Pse202U
18
Buffer Modules
21
Sitop Buf1200
21
Sitop Pse201U
22
Inrush Current Limiter
23
Logo! ICL230
23
SITOP Inrush Current Limiter
24
Connections and Terminal Designation
25
Redundancy Modules
25
Sitop Red1200
25
Sitop Pse202U
26
Buffer Modules
27
Sitop Buf1200
27
Sitop Pse201U
28
Inrush Current Limiter
29
Logo! ICL230
29
SITOP Inrush Current Limiter
30
Potentiometer
31
SITOP PSE202U Redundancy Modules
31
Status Displays and Signaling
32
SITOP PSE202U Redundancy Modules
32
Buffer Modules
33
Sitop Buf1200
33
Sitop Pse201U
33
Inrush Current Limiter
34
Logo! ICL230
34
SITOP Inrush Current Limiter
35
Dimensions and Weight
36
Redundancy Modules
36
Sitop Red1200
36
Sitop Pse202U
38
Buffer Modules
40
Sitop Buf1200
40
Sitop Pse201U
41
Inrush Current Limiter
42
Logo! ICL230
42
SITOP Inrush Current Limiter
43
Mounting/Removal
45
Redundancy Modules
45
Sitop Red1200
45
6Ep1961-3Ba21
47
6EP1962-2BA00 and 6EP1964-2BA00
48
Buffer Modules
49
Sitop Buf1200
49
Sitop Pse201U
50
Inrush Current Limiter
51
Logo! ICL230
51
SITOP Inrush Current Limiter
53
Mounting Position, Mounting Clearances
55
Standard Mounting Position
55
Other Mounting Positions
59
Sitop Red1200
59
6Ep4346-7Rb00-0Ax0
59
6EP4347-7RB00-0AX0 and 6EP4347-7RC00-0AX0
62
6Ep4348-7Rb00-0Ax0
64
Sitop Pse202U
66
6Ep1961-3Ba21
66
6Ep1962-2Ba00
68
6Ep1964-2Ba00
70
Buffer Modules
72
SITOP BUF1200 (6EP4231-7HB00-0AX0 and 6EP4231-7HC00-0AX0)
72
Sitop Pse201U (6Ep1961-3Ba01)
72
Inrush Current Limiter
72
Installation
73
Input Connections
74
Redundancy Modules
74
Sitop Red1200
74
Sitop Pse202U
75
Buffer Modules
76
Sitop Buf1200
76
Sitop Pse201U
76
Inrush Current Limiter
77
Logo! ICL230
77
SITOP Inrush Current Limiter
77
Output Connections
79
Redundancy Modules
79
Sitop Red1200
79
Sitop Pse202U
83
Buffer Modules
84
Sitop Buf1200
84
Sitop Pse201U
84
Inrush Current Limiter
85
Logo! ICL230
85
SITOP Inrush Current Limiter
85
Technical Data
87
Input
87
Redundancy Modules
87
Buffer Modules
87
Inrush Current Limiter
88
Output
89
Redundancy Modules
89
Buffer Modules
89
Inrush Current Limiter
91
Protection and Monitoring
92
Redundancy Modules
92
Buffer Modules
92
Inrush Current Limiter
92
Mechanical System
93
Redundancy Modules
93
Buffer Modules
94
Inrush Current Limiter
95
Accessories
96
Redundancy Modules
96
Dimension Drawing
97
Redundancy Modules
97
Buffer Modules
97
Inrush Current Limiter
98
Safety, Approvals, EMC
99
Safety
99
Approvals
100
Sitop Red1200
100
Sitop Pse202U
100
Buffer Modules
101
Inrush Current Limiter
101
Emc
102
Sitop Red1200
102
Pse202U
102
Buffer Modules
103
Inrush Current Limiter
103
Ambient Conditions
105
Applications
107
Redundancy Circuit for Increased System Availability
107
Design of 24 V Load Feeders with Power Limiting According to NEC Class2
110
Protection against Short-Time Voltage Dips
111
Environment
113
Service & Support
115
Related product manuals
Siemens SITOP 6EP1961-2BA21
58 pages
Siemens SITOP 6EP1961-2BA41
58 pages
Siemens 6EP1437-3BA10
58 pages
Siemens SITOP 6EP1336-3BA00
70 pages
Siemens LOGO!Power 6EP1311-1SH13
56 pages
SITOP PSU100M 6EP1337-3BA00
70 pages
SITOP PSU200M 6EP1334-3BA10
70 pages
SITOP PSU200M 6EP1333-3BA10
70 pages
SITOP PSU100L 6EP1332-1LB00
58 pages
Siemens 6EP4134-3AB00-0AY0
232 pages
Siemens 6EP3436-8SB00-0AY0
58 pages
Siemens 6EP4136-3AB00-0AY0
232 pages