EasyManua.ls Logo

Sigma sigmaspectrum 35700ABB - Page 84

Sigma sigmaspectrum 35700ABB
102 pages
Print Icon
To Next Page IconTo Next Page
To Next Page IconTo Next Page
To Previous Page IconTo Previous Page
To Previous Page IconTo Previous Page
Loading...
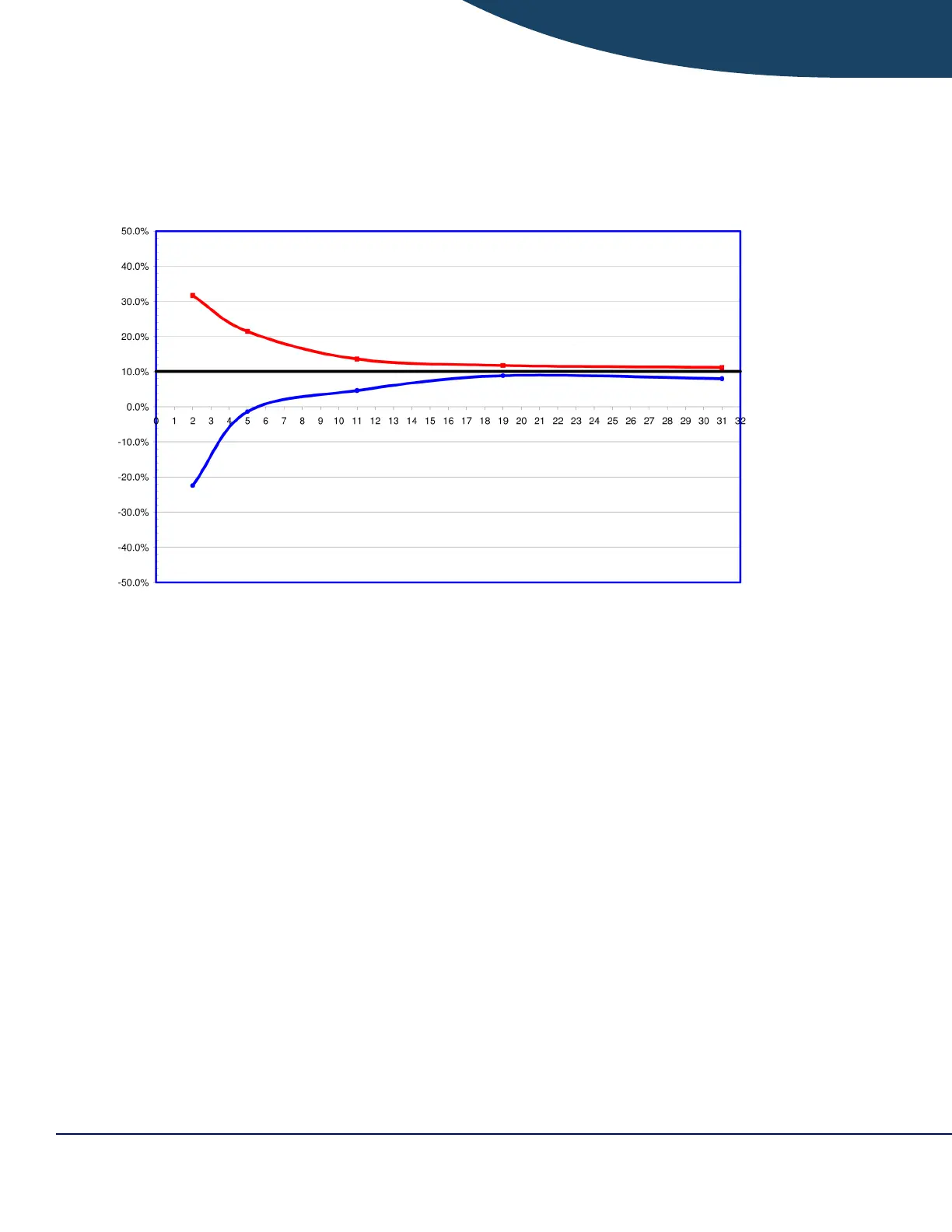
78 APPENDIX B - Flow Rate Accuracy
SIGMA Manual Number 41018
Revision AR
Typical of minimum rate 2nd Hr, Trumpet Graph
Trumpet Curve, 2nd Hour
Set Rate .5 mL/hr
%-Error of Flow
Observation Window (min)

Table of Contents

Related product manuals