EasyManua.ls Logo

Smartgen HGM6120U - HGM6100 U Sensor Calibration and Setup

Default Icon
39 pages
Print Icon
To Next Page IconTo Next Page
To Next Page IconTo Next Page
To Previous Page IconTo Previous Page
To Previous Page IconTo Previous Page
Loading...
HGM6100U Series Automatic Control Module
HGM6100U Automatic Genset Controller ISSUE 2014-10-28 Version 1.2 Page 32 of 39
9 SENSOR SETTING
1) When choosing sensor, standard of sensor curve will be needed. If temperature
sensor is set as SGH (120ºC resistor type), sensor curve should be SGH (120
o
C
resistor type); If it is set as SGD (120ºC resistor type), sensor curve should be
SGD curve.
2) If there is difference between standard sensor curve and chosen sensor curve,
select "defined sensor", and then input defined sensor curve.
3) When sensor curve is inputted, X value (resistance) must be in accordance with
the order of higher to lower, otherwise errors will occur.
4) When sensor is selected as "Not used", temperature, pressure and fuel level will
be display as" - - -" in LCD.
5) If there is no pressure sensor, but only has low pressure alarm switch, then you
must set pressure sensor as "Not used", otherwise oil pressure low alarm
shutdown may appear.
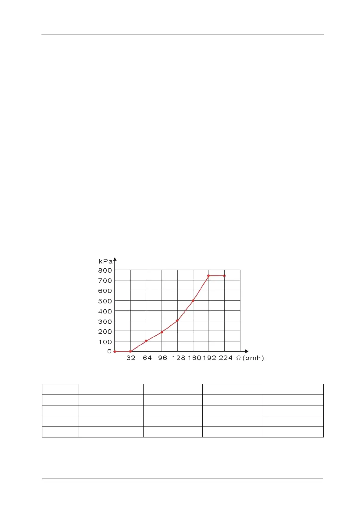
6) Can set several points of forehand or backmost as the same ordinate, as the
following picture:
Conventional pressure unit conversion table
1N/m
2
(pa) 1kgf/cm
2
1bar (1b/in
2
) psi
1Pa 1 1.02x10
5
1x10
5
1.45x10
4
1kgf/cm
2
9.8x10
4
1 0.98 14.2
1bar 1x10
5
1.02 1 14.5
1psi 6.89x10
3
7.03x10
2
6.89x10
2
1

Related product manuals